Résumé

Introduction

1.

L’évaluation des résultats scolaires

2.

Le « bonus IPS »

3.

Le « bonus secteur »

4.

De l’usage du terme « discrimination »

I.

Mesure de la discrimination engendrée par les bonus IPS

II.

La politique de communication du rectorat

III.

Mixité sociale : un cri de victoire trompeur

1.

Quelques réflexions sur l’Indice de Position Sociale (IPS)

2.

« 39 % ! » et la réalité des choses

IV.

Mixité scolaire : une évaluation biaisée

1.

La mixité scolaire est-elle un objectif souhaitable ?

2.

La question des moyens mis en œuvre

V.

La fuite vers le privé : enjeu crucial mais négligé

VI.

Le cas particulier des lycées Henri-IV et Louis-le-Grand

Conclusion

Annexes

Voir le sommaire complet Replier le sommaire

Résumé

Avec le double objectif d’augmenter la mixité sociale (c’est-à-dire celle des milieux sociaux) et la mixité scolaire (c’est-à-dire celle des niveaux scolaires) au sein des différents lycées publics parisiens, l’académie de Paris a engagé en 2021 une profonde réforme de la procédure informatisée Affelnet qu’elle utilise pour l’affectation en seconde générale et technologique des élèves de troisième dans ses établissements.

La principale innovation de cette réforme est l’introduction d’un bonus de points qui est fonction de l’indice de position sociale (IPS) moyen du collège d’origine de l’élève.

La présente étude montre l’ampleur de la discrimination que cette innovation a mise en place. Elle établit également que les progrès réalisés en termes d’augmentation de la mixité sociale sont loin d’être aussi élevés que la statistique, largement relayée dans les médias, d’une « baisse de 39% de la ségrégation sociale » le laisse entendre. Elle expose enfin les autres interrogations que suscite cette réforme, ainsi que les principaux biais et lacunes de « l’évaluation scientifique » réalisée en février 2023 par le président de son comité de suivi.

Marion Oury,

Maître de conférences en Économie à l’Université Paris-Dauphine*. Ancienne élève d’HEC-Paris, elle a obtenu un doctorat en économie et en gestion et s’est spécialisée en théorie des jeux.

Festivités du 14 juillet 1920 – Trélon, Nord

Notes

*.

Le point de vue exprimé dans la présente étude est celui de son auteur et ne reflète pas nécessairement celui de l’Université Paris-Dauphine.

+ -

1.

Un quatrième élément pris en compte est le statut éventuel de boursier de l’élève. Le bonus boursier est passé à la suite de la réforme de 4.800 à 600 points. Cependant, cette modification a peu de signification puisque le rectorat réalise à présent deux procédures Affelnet parallèles, l’une pour les élèves boursiers et l’autre pour les élèves non boursiers (avec un système de taux cible défini pour chaque lycée).

+ -

La procédure automatisée Affelnet (AFFectation des ÉLèves par le NET) permet d’affecter les élèves dans les lycées publics en fonction, d’une part, des vœux des familles et d’autre part, de règles de priorité utilisées pour classer les candidatures. Bien que cette procédure soit depuis le milieu des années 2000 utilisée partout en France, son paramétrage est propre à chaque académie.

Le barème à présent utilisé dans l’académie de Paris, à la suite de la réforme de 2021, est constitué de trois volets1 que nous présentons dans les trois premières sections de cette introduction :

1) Les points associés à l’évaluation des résultats scolaires de l’élève (section 1)

2) Le « bonus IPS » calculé en fonction du collège de scolarisation de l’élève (section 2)

3) Le « bonus secteur » calculé en fonction de l’adresse d’habitation de l’élève et du lycée demandé (section 3)

1

L’évaluation des résultats scolaires

Notes

2.

À travers les propos tenus par Jean-Marc Huart, alors directeur général de l’enseignement scolaire, en 2019 [en ligne].

+ -

3.

En ligne sur le site de l’académie de Paris.

+ -

4.

La « fiche barème » est une fiche d’information, que les familles peuvent demander au rectorat une fois la procédure Affelnet achevée et qui permet de comprendre l’affectation de l’élève. Y figurent : 1/ l’évaluation du « socle commun » ; 2/ les nombres de points dans chaque matière après le premier lissage et dans chaque champ après le second lissage et les seuils d’admission des différents lycées demandés. Frédéric Gaume a permis grâce à son site une mise en commun des fiches-barèmes. Nous le remercions vivement pour ce travail précieux sans lequel la présente étude n’aurait pu voir le jour. Pour le calcul détaillé du paramétrage du second lissage, voir annexe A.

+ -

5.

Voir annexe A3. Ce nombre peut varier d’une année à l’autre, mais sa variation est extrêmement faible : sa valeur était de 3 296 en 2021, 3 301 en 2022, et 3 301 en 2023.

+ -

La manière dont les résultats scolaires sont évalués (quand ils le sont, ce n’est en effet pas le cas dans toutes les académies) est décidée à l’échelon national. La réforme de 2021 n’a donc pas engendré de modification concernant ce premier volet. Cependant, le système utilisé par Affelnet présente trois singularités (pour ne pas dire trois bizarreries) qui méritent d’être soulignées ici. Elles ont pour conséquence de diminuer fortement l’importance des notes du bulletin dans l’affectation des élèves et sont fondamentales pour le reste de notre analyse. Nous les exposons rapidement dans les lignes qui suivent (et de manière plus détaillée dans l’annexe A).

Première singularité (qui a donné à la présente étude son titre) : pour chaque trimestre et chaque matière, les notes du bulletin scolaire sont classées par palier de 5 points. Autrement dit, un 15 vaut un 20, un 10 vaut un 14,9, un 5 vaut un 9,9 et un 0 vaut un 4,9. Ainsi pour chaque trimestre et chaque matière, passer de 10 à 20 ou de 14,5 à 15 rapporte exactement le même nombre de points. Quelle est la raison de cette règle étrange ? Impossible de répondre : le motif invoqué par le ministère est la nécessité de prendre en compte le fait que certains collèges publics français n’évaluent pas leurs élèves sous forme de notes2. Cependant cette explication ne suffit guère car il est bien sûr plus simple de convertir en notes les évaluations produites par ces quelques collèges (minoritaires) que de procéder en sens inverse et réduire à quatre paliers l’échelle des notes de 0 à 20. Autre point à souligner : d’une manière étonnante, cette règle, à la fois cruciale et bien difficile à imaginer pour celui qui n’en a pas connaissance, ne figure ni sur la page du site de l’académie de Paris consacrée à l’affectation en 2de générale et technologique (GT) ni sur le « mode d’emploi » que les familles peuvent y télécharger3. Dans ce contexte, il est certain que le corps professoral et la direction de chaque collège peuvent éprouver quelques réticences à la divulguer : sa connaissance est en effet susceptible de créer, en raison des effets de seuils qu’elle induit, à la fois des pressions de la part des parents et de la démotivation de la part des élèves. Elle demeure donc peu connue des familles. Ce qui signifie qu’elle n’est pas seulement absurde, mais également affaire « d’initié », c’est-à-dire génératrice d’injustices et d’inégalités.

Deuxième singularité : une fois la règle « 15 = 20 » appliquée, est effectué un second « lissage », dont les familles dans leur grande majorité ignorent également tout. Le paramétrage exact de cette seconde transformation des notes du bulletin ne figure sur aucun document officiel : il n’a pu être calculé que grâce au travail citoyen de mise en commun des « fiches- barèmes » qu’a réalisé Frédéric Gaume sur son site4. La connaissance de ce paramétrage a pourtant une importance capitale, car elle permet de découvrir le caractère crucial de ce « second lissage » : on s’aperçoit en particulier que le nombre maximal de points associé aux notes du bulletin ne vaut pas 4.800, comme l’affichent les diverses plaquettes d’information à destination des familles, mais environ 3.3005. Nous verrons dans la section I que cette différence d’environ 1.500 points est essentielle pour l’analyse de la discrimination engendrée par l’introduction du bonus IPS.

Troisième singularité : l’évaluation des résultats scolaires ne s’appuie pas uniquement sur les notes des bulletins scolaires mais aussi sur l’évaluation des compétences du « socle commun de connaissances, de compétences et de culture ».

Le socle commun
« Le socle commun » comprend huit composantes aux intitulés (parfois énigmatiques) suivants :

1) comprendre, s’exprimer en utilisant la langue française à l’écrit et à l’oral ;
2) comprendre, s’exprimer en utilisant une langue étrangère et, le cas échéant, une langue régionale (ou une deuxième langue étrangère) ;
3) comprendre, s’exprimer en utilisant les langages mathématiques, scientifiques et informatiques ;
4) comprendre, s’exprimer en utilisant les langages des arts et du corps ;
5) les méthodes et outils pour apprendre ;
6) la formation de la personne et du citoyen ;
7) les systèmes naturels et les systèmes techniques ;
8) les représentations du monde et l’activité humaine.

Pour chacune de ces huit composantes, le niveau de maîtrise est évalué selon une échelle de référence comportant quatre échelons et converti en points (très bonne maîtrise : 600 points, maîtrise satisfaisante : 480 points, maîtrise fragile : 300 points et maîtrise insuffisante : 120 points).

Si l’existence de ce « socle commun », introduit en 2016, est bien connue de tous, les parents d’élèves ignorent généralement son poids prépondérant dans l’évaluation des résultats scolaires. Le site de l’académie de Paris indique en effet que les deux bilans (celui associé au socle commun d’un côté, et de l’autre, celui associé aux bulletins scolaires) sont pris en compte « à parts égales », c’est-à-dire pour 4.800 points chacun.

Une telle présentation est factuellement fausse (comme nous l’avons vu, le nombre maximal de points associé aux bulletins scolaires est non pas de 4.800 mais d’environ 3.300) mais également très éloignée de la réalité. Pour s’en apercevoir et saisir le caractère presque négligeable des notes du bulletin en comparaison du socle de compétences, il suffit de garder à l’esprit les ordres de grandeur suivants : le passage de « maîtrise satisfaisante » à « très bonne maîtrise » pour une des huit compétences du socle rapporte 120 points, c’est-à-dire approximativement le même nombre de points que le passage à un trimestre de 10 de moyenne à 20 de moyenne dans toutes les matières (environ 115 points) et trois fois plus que le passage de 10 de moyenne à 20 de moyenne aux trois trimestres en mathématiques (environ 39 points)6.

Dernier point à souligner : l’opacité et l’arbitraire avec lesquels est effectué ce bilan relatif au socle de compétences, qui a, comme nous venons de le voir, la plus grande importance pour le destin scolaire d’un élève. Ce problème vient en premier lieu de l’intitulé même de certaines compétences. Ainsi, par exemple, sur quelles bases prétend-on évaluer la composante « méthodes et outils pour apprendre » ? Le document d’accompagnement produit à ce sujet par le ministère mérite le coup d’œil7 ; une notice y explique qu’il s’agit d’apprécier la manière dont l’élève parvient à réaliser les « éléments signifiants » suivants : « organiser son travail personnel », « coopérer et réaliser des projets », « rechercher et traiter l’information et s’initier aux langages des médias », « mobiliser les outils numériques pour apprendre, échanger, communiquer ». Toutes les disciplines enseignées en classe de troisième devant, ultime détail de la théorie, contribuer de concert à l’évaluation de ces acquis. Mais il faut ajouter que même lorsque l’intitulé paraît comporter encore un peu de clarté cartésienne, le mode d’évaluation est obscur. Ainsi, dans le même document, deux pages expliquent la manière dont toutes les disciplines doivent contribuer ensemble à l’évaluation de la compétence « comprendre, s’exprimer en utilisant la langue française à l’écrit et à l’oral ».

Bizarrerie supplémentaire : chaque élève ne peut prendre connaissance des points qui lui ont été attribués pour l’évaluation du socle commun de compétences qu’en réalisant, après l’affectation des collégiens dans les différents lycées, une demande au rectorat afin de recevoir sa « fiche-barème ». L’incertitude, l’aléa, l’anxiété demeurent donc jusqu’au bout (et il n’est pas impossible que dans certains collèges, ce « socle commun » au contenu obscur puisse constituer un moyen de pression – implicite ou explicite – sur les familles et les représentants des parents d’élèves). Précisons enfin, pour achever ce rapide tour d’horizon des différentes anomalies de cette « approche pédagogique innovante », qu’il n’existe (à notre connaissance) aucune sorte de statistique sur la manière dont le socle commun est évalué, ni à l’échelle parisienne, ni à l’échelle nationale.

Les deux sous-sections qui suivent présentent les deux principales innovations de la réforme de 2021 : l’introduction du bonus IPS et la modification du critère géographique.

2

Le « bonus IPS »

Notes

8.

La moyenne nationale et la moyenne académique évoluent chaque année. Les données présentées ici proviennent du « Guide académique des procédures d’orientation et d’affectation dans les lycées de l’académie de Paris 2023-2024 ».

+ -

9.

Un seul collège privé appartient à la catégorie « IPS faible ».

+ -

L’introduction d’un bonus IPS est la nouveauté essentielle de la réforme. Son principe est le suivant. Les collèges publics parisiens sont regroupés en trois catégories selon leur IPS moyen (nous reviendrons dans la section III sur la construction et la signification de cet indice) :

– « IPS faible » : IPS moyen inférieur à 106,6 (c’est-à-dire la moyenne nationale8), environ 38% des collèges publics parisiens ;

– « IPS moyen » : IPS moyen compris entre 106,6 et 126,3 (c’est-à-dire la moyenne académique), environ 37% des collèges publics parisiens ;

– « IPS fort » : IPS supérieur à 126,3, environ 25% des collèges publics parisiens.

Les collèges privés parisiens sont également regroupés de cette manière : ils appartiennent, pour environ 75% d’entre eux, à la catégorie « IPS fort », et pour environ 25% à la catégorie « IPS moyen »9.

Un bonus, baptisé bonus IPS, est ensuite attribué à l’élève en fonction du statut de son collège de scolarisation en troisième : il est de 1.200 points pour les collèges « à IPS faible », 600 points pour les collèges « à IPS moyen », et nul pour les collèges « à IPS fort ».

Les ordres de grandeur donnés précédemment permettent de saisir l’importance du bonus IPS : rappelons en effet que le passage de 10 à 20 pour toutes les matières et tous les trimestres rapporte environ 3×115 = 345 points et que le passage de « maîtrise satisfaisante » à « très bonne maîtrise » pour les huit compétences du socle en rapporte 8×120 = 960. On voit ainsi que les résultats scolaires d’un élève jouent un rôle mineur par comparaison à la position sociale de son établissement d’origine.

3

Le « bonus secteur »

Notes

10.

Plus précisément, pour chaque collège, les lycées publics parisiens sont répartis en trois secteurs : secteur 1 (bonus de 32.640 points), secteur 2 (bonus de 17.760 points) et secteur 3 (bonus de 16.800 points). Cependant, la différenciation secteur 2/secteur 3 a peu d’impact car les lycées « attractifs » ne sont accessibles qu’en secteur 1. Le nombre maximal de points que l’on peut obtenir avec les autres critères (évaluation scolaire + bonus IPS) étant égal à 4.800+3 301+1.200 = 9.301, on voit que la règle de priorité absolue est respectée pour le secteur 1 (car 32.640-17.760 = 14.880 > 9.301).

+ -

11.

Pour être accessible « hors secteur 1 », un lycée doit avoir un seuil d’admission inférieur à 27.061 c’est-à-dire 9.301 (nombre maximal de points associés aux volets résultats scolaires et bonus IPS) + 17.760 (nombre de points associés au secteur 2). Les seuils d’admission des différents lycées publics parisiens sont disponibles dans la « boite à outils Affelnet » sur le site de Frédéric Gaume.

+ -

12.

Pour les taux de mentions au baccalauréat 2022, voir (par exemple) le site du Figaro Étudiant.

+ -

La seconde grande innovation de la réforme concerne la sectorisation des différents lycées publics parisiens.

Auparavant, l’académie de Paris était découpée en quatre districts d’affectation avec une règle de priorité absolue du critère géographique : un important bonus était attribué aux vœux situés dans le district de résidence de sorte que, pour chaque district, les élèves domiciliés à l’intérieur de ce district étaient prioritaires sur tous les élèves des trois autres districts. À présent, à chaque collège sont attribués seulement 5 lycées dits « de secteur 1 ». Cette liste de 5 lycées a été constituée pour chaque collège à partir de deux critères : d’une part, tous les lycées de secteur 1 d’un collège doivent être situés à moins de 25 minutes de ce collège en transports en commun ; d’autre part, les 5 lycées de secteur 1 d’un collège doivent avoir des niveaux d’attractivité variés. Précisons enfin que le bonus associé à ce « secteur 1 » est tel que la règle de priorité absolue du critère géographique est encore valide : un élève visant un lycée qui n’est pas dans son secteur 1 ne peut pas préempter la place d’un élève pour lequel ce lycée l’est10.

Pour saisir l’importance capitale de la modification du critère géographique, il est nécessaire d’avoir à l’esprit la statistique suivante : en 2023, avoir le lycée demandé dans la liste des 5 lycées de son secteur 1 était une condition sine qua non d’admission pour 31 des 44 lycées publics GT parisiens. Autrement dit, seulement 13 des 44 lycées publics GT parisiens étaient accessibles « hors secteur 1 », c’est-à-dire accessibles à un élève non-boursier n’ayant pas ces lycées dans sa liste de secteur 1 et ayant sur les deux autres volets (résultats scolaires et « bonus IPS ») le nombre maximal de points11. Et il convient d’ajouter que ces 13 lycées faisant exception sont tous peu attractifs, voire très peu : 10 d’entre eux font en effet partie des 15 lycées parisiens (enseignements public et privé confondus) ayant présenté plus de 50 élèves au baccalauréat 2022 et obtenu moins de 50% de mentions12.

Ainsi, le constat suivant s’impose. Avec la réforme, le choix pour les élèves est passé de facto d’une dizaine de lycées (répartition d’une quarantaine de lycées en 4 districts) à 5 (le nombre de lycées figurant sur la liste de secteur 1 associé à chaque collège) : il a été considérablement réduit.

4

De l’usage du terme « discrimination »

Notes

13.

Propos recueillis par le site Acteurs Publics, 26 août 2021.

+ -

Il est nécessaire de souligner ici que la restriction de la liberté des familles que le changement du critère géographique met en place est voulue. Elle a en effet été pensée, conjuguée avec l’introduction du bonus IPS, comme un outil destiné à augmenter la mixité scolaire (i.e., rappelons-le, celle des niveaux scolaires).

Pour être plus précis, le mécanisme est le suivant : un bon (voire très bon) élève issu d’un collège sans bonus sera affecté, s’il échoue sur les premiers vœux de son secteur 1 (et comme nous le verrons plus précisément dans la prochaine section, la faible importance des notes du bulletin ainsi que le caractère prépondérant des bonus IPS peut facilement conduire à ce type d’échec) dans un lycée moyen, voire médiocre… Et il pourra donc (c’est du moins ce que promet la théorie) servir « d’élément moteur » dans l’établissement où la procédure l’aura contraint à étudier.

Il est vrai qu’augmenter la mixité scolaire (à supposer que cet objectif ait un sens, nous reviendrons sur cette question en section IV) n’est pas chose facile, les bons élèves (ou leurs parents) ayant tendance à rechercher (pour de bonnes ou de mauvaises raisons) les bons établissements. Il faut par conséquent qu’un dispositif spécifique sans rapport avec les résultats scolaires puisse faire obstacle à cette logique : c’est-à-dire qu’à dossiers scolaires équivalents, de profondes disparités de traitement existent dans les possibilités d’accès aux différents lycées.

C’est ce que fait la réforme, d’une manière donc tout à fait consciente et délibérée : à des fins de mixité scolaire, elle met en place, à travers la restriction du critère géographique et l’introduction du bonus IPS, un système de discrimination de grande ampleur, avec des effets positifs pour les uns et des effets négatifs pour les autres, que nous étudierons plus précisément dans la prochaine section.

Il est dès lors permis de s’étonner des propos par lesquels Christophe Kerrero, le recteur de l’académie de Paris, refuse le terme de discrimination : « On pourrait parler de discrimination positive si l’objectif […] était de « corriger » une inégalité, en facilitant l’entrée des élèves de CSP défavorisées dans des lycées jugés meilleurs que d’autres : cela supposerait donc que l’institution elle-même considère que certains établissements, et en particulier ceux qui sont plébiscités par les familles, sur des critères parfois très subjectifs, font mieux réussir leurs élèves13». Le caractère chaotique de cette argumentation est visible à l’œil nu : si ce que la littérature scientifique en économie de l’éducation nomme les « effets de pair » (c’est-à-dire – schématiquement – le fait que le niveau de la classe à laquelle un élève appartient puisse avoir un impact sur son propre niveau) n’existe pas, si tous les lycées sont équivalents par définition, s’il n’y en a pas de « bon », pas de « mauvais », pourquoi mettre en place un tel chamboulement dans les procédures d’affectation ? De plus (en fermant les yeux sur cette hypocrisie et en supposant qu’un tel propos soit vrai) un élève n’a-t-il pas le droit de préférer pour des raisons personnelles (proximité géographique, amitiés, etc.) un établissement à un autre ?

I Partie

Mesure de la discrimination engendrée par les bonus IPS

Notes

14.

Voir par exemple « Les meilleurs lycées à Paris » sur le site du Figaro Étudiant.

+ -

15.

Voir la page du site de Frédéric Gaume où figure le tableau collaboratif. Nous le remercions à nouveau pour ce travail précieux.

+ -

Cette section se propose de mesurer les disparités de traitement que la réforme a mises en place entre les élèves des différents collèges parisiens. Comme ces disparités ont surtout vocation, bien sûr, à contrôler l’accès aux lycées qualifiés « d’attractifs », nous nous focalisons sur ceux-ci, autrement dit sur les lycées dits « de niveau » (les deux termes « attractifs » et « de niveau » étant ici équivalents).

Nous avons choisi de qualifier de « lycée de niveau » un lycée ayant obtenu plus de 79% de mentions au baccalauréat 2022.

Cette définition est peu restrictive : sur les 99 lycées parisiens (publics et privés) ayant présenté plus de 50 élèves au baccalauréat 2022, 59 lycées satisfont ce critère, 40 d’entre eux (dont 8 lycées publics) ayant même plus de 90% de mentions14. Il faut ajouter que ce groupe constitue un ensemble relativement homogène qui se distingue assez nettement des autres lycées publics parisiens (ces derniers ayant tous un taux de mention au baccalauréat inférieur à 69%).

L’académie de Paris compte 18 « lycées publics de niveau » (en plus des deux lycées « d’excellence » Henri-IV et Louis-le-Grand, qui font l’objet d’une analyse séparée ; voir section VI).

Pour mesurer l’ampleur de la discrimination que l’introduction des bonus IPS combinée avec la modification du critère géographique a mise en place, il est nécessaire de connaître les seuils d’admission de ces 18 lycées dans la procédure Affelnet. Or, cette information-clé ne figure dans aucun document d’information officiel produit par l’académie de Paris (soulignons au passage qu’une nouvelle fois nous ne comprenons pas les raisons d’une telle opacité et qu’elle nous paraît bien regrettable). Néanmoins, quand un élève de troisième reçoit son affectation au terme de la procédure Affelnet, il peut demander au rectorat sa « fiche-barème », sur laquelle figurent en particulier les différents seuils d’admission des lycées auxquels il a candidaté.

Un tableau collaboratif et citoyen a ainsi pu être réalisé par Frédéric Gaume sur son site internet15 afin de porter à la connaissance de tous les seuils des différents lycées publics parisiens.

Seuils d’admission 2023 des 18 « lycées de niveau » parisiens

Notes

16.

Arrondis au point près.

+ -

17.

La statistique de 2023 n’étant pas disponible encore pour le lycée Jean-de-la-Fontaine, nous avons reproduit celle (sans doute similaire) de 2022.

+ -

18.

Cette valeur est obtenue en additionnant les points associés au bonus secteur 1 (32.640 points), au socle commun (4.800 points) et aux bilans périodiques (environ 3.301 points).

+ -

19.

Le lycée Turgot ne figure dans le secteur 1 d’aucun collège « à IPS fort ».

+ -

20.

Le score maximal d’un élève (non-boursier) issu d’un collège « à IPS faible » est de 41.941 points (c’est-à-dire 40.741+1 200). Avoir huit mentions « maitrise satisfaisante » (et non « très bonne maîtrise ») coûte 960 points. Avoir 10/20 (et non 20/20) dans toutes les matières et à tous les trimestres coûte 345 points. On obtient donc : 41.941-960-345=40 636.

+ -

21.

La liste des collèges sans bonus IPS figure dans le « guide académique des procédures d’orientation et d’affectation dans les lycées de l’académie de Paris 2023-2024 ». La sectorisation de chaque collège pour la rentrée 2023 est accessible sur le site du rectorat de Paris.

+ -

Les ordres de grandeur suivants permettent de juger de l’ampleur des différences de traitement que l’introduction du bonus IPS a mises en place :

Le score maximal d’un élève (non-boursier) issu d’un collège sans bonus IPS vaut 40.741 points (une fois pris en compte le fait crucial que le nombre maximal de points associé aux bulletins scolaires est de 3.301 et non de 4.800)18. Il ne peut donc avoir accès (et ce quelle que soit la qualité de son bulletin scolaire) ni à Condorcet, ni à Hélène-Boucher19. Le lycée Chaptal suppose un parcours absolument sans faute et les lycées Sophie-Germain, Charlemagne, Victor-Hugo et Fénelon un parcours quasiment sans faute (gardons en effet à l’esprit qu’avoir à un trimestre, une moyenne inférieure à 15 en sport coûte 22 points, en musique ou en dessin 11 points, cf. l’annexe A.2). Quand on songe qu’avoir une mention « maîtrise satisfaisante » (et non pas « très bonne maîtrise ») pour une des compétences du socle coûte 120 points, on s’aperçoit que les lycées Buffon, Lavoisier, Racine sont également périlleux, même pour de très bons élèves. Et on pourrait poursuivre… Le fait d’avoir « seulement » 5 « très bonne maîtrise » (et non pas 8) au « socle commun » coûte 360 points et interdit donc l’accès à 13 des 18 lycées de niveau. Seuls Claude-Monet ainsi que 4 lycées de l’Ouest parisien (Jean-de-la-Fontaine, Jean-Baptiste-Say, Janson-de-Sailly et Victor-Duruy) paraissent échapper un peu à ces difficultés et demeurer envisageables sans trop d’inquiétude pour un bon élève (qui est au fait de l’importante règle 15 = 20), même s’il restera bien sûr jusqu’au bout soumis à l’aléa de l’évaluation du socle commun.

Comme le lecteur le constatera facilement, le traitement d’un élève (non- boursier) issu d’un collège avec un bonus IPS de 1.200 est bien différent : le fait d’avoir 10 de moyenne dans chaque matière et à chaque trimestre ainsi que la mention « maîtrise satisfaisante » dans les 8 compétences du bilan de fin de cycle lui procure 40.636 points20. Seuls 8 lycées de niveau lui demeurent donc inaccessibles. Une mention « très bonne maîtrise » à une compétence du socle lui permettra d’atteindre 40.756 points, c’est-à-dire lui ouvrira les portes de 15 des 18 lycées publics « de niveau » (s’ils sont bien sûr dans son secteur 1).

Dernier point à souligner : en raison de la logique du secteur 1, des disparités existent au sein même des collèges sans bonus IPS et certains collèges (en particulier ceux du centre de Paris) qui n’ont dans leur secteur 1 que des lycées inaccessibles ou quasi inaccessibles se trouvent dans une situation particulièrement critique.

Le tableau ci-dessous présente pour chaque collège public sans bonus IPS « les lycées de niveau » de son secteur 1 et le nombre minimal de points qu’un élève (non-boursier) doit donc avoir pour accéder à un « lycée de niveau »21.

Seuil minimal par collège pour accéder à un « lycée de niveau »

Commentons brièvement ce tableau. Le score maximal d’un élève (non-boursier) issu d’un collège sans bonus IPS est, rappelons-le, de 40.741 points. Cela signifie que dans les collèges Pierre-Jean-de-Béranger, César-Franck, Victor-Hugo et Charlemagne, le fait d’avoir une moyenne en sport inférieure à 15 pour deux trimestres (coût de 44 points) interdit l’accès aux lycées de niveau, et ce quelle que soit l’excellence du bulletin scolaire par ailleurs. Avoir 14,9 de moyenne dans toutes les matières et à tous les trimestres coûte 345 points et empêche donc d’entrer dans un lycée de niveau pour les élèves (non-boursiers) issus des collèges Henri-IV, Condorcet, Lamartine, Pierre-Alviset, Montaigne, Queneau, Lavoisier, Paul-Bert, Saint-Exupéry (et ce même avec la totalité des points pour le socle commun de compétences). En prenant en compte le fait qu’une mention « maîtrise satisfaisante » et non « très bonne maîtrise » coûte 120 points, on s’aperçoit que la situation est également difficile dans les collèges Octave-Gréard, Paul-Gauguin, Pierre-de-Ronsard, Yvonne-Le-Tac.

Notons enfin au passage que le système mis en place produit des effets de seuil particulièrement forts et étranges. Ainsi, le collège François-Couperin (4ème arrondissement) dont l’IPS moyen est de 128,7 est sans bonus IPS. Compte-tenu de sa liste de secteur 1, avoir accès à un lycée de niveau exige donc un parcours quasi-sans-faute. Quand le collège Jean-Baptiste-Poquelin (1er arrondissement), lui aussi rattaché aux lycées Sophie-Germain et Charlemagne et dont l’IPS moyen est très proche (125,8), bénéficie d’un bonus IPS de 600.

II Partie

La politique de communication du rectorat

Notes

22.

Voir le site de l’académie de Paris, « Réforme de l’affectation en 2de » (Objectif 4).

+ -

23.

Emmanuelle Hunzinger, « Réforme d’Affelnet : grogne des parents et déception de futurs lycéens à Paris », franceinfo, 12 juillet 2021. On a (en considérant à tort, comme nous l’avons vu, que les points associés aux notes du bulletin sont de 4.00) pour le nombre maximal de points : 32 640 (secteur 1) + 4.800 (« bilan de fin de cycle ») + 4.800 (notes du bulletin) + 1.200 (bonus IPS maximal) = 43.440. En divisant 1.200 par 43.440, on obtient bien 2,76%.

+ -

24.

Propos recueillis dans 20 Minutes, 29 juin 2021 (même propos dans d’autres médias : Acteurs Publics, Le Figaro Étudiant, site de l’académie de Paris…).

+ -

25.

Un autre phénomène qui pousse ces statistiques à la hausse n’est pas pris en compte : dans la nouvelle procédure de 2021, les lycées privés sous contrat sont intégrés à Affelnet et un élève scolarisé dans un collège public désireux de s’inscrire dans un lycée privé doit mettre cet établissement en tête de liste sur sa fiche de voeux.

+ -

26.

Note IPP n° 88 et note IPP n° 89. Nous nous appuierons également sur les slides réalisées dans le cadre du comité de suivi de la réforme [en ligne]. Julien Grenet est directeur de recherche au CNRS et titulaire d’une chaire à la Paris School of Economics. Pauline Charousset a réalisé sa thèse sous la direction de Julien Grenet et est actuellement en post-doctorat à la Paris School of Economics.

+ -

Avant de nous pencher sur l’évaluation de la réforme qui a été réalisée en février 2023 par le président de son comité de suivi, il nous paraît nécessaire d’examiner une question que ce document omet entièrement et qui devrait pourtant, nous semble-t-il, faire l’objet d’une évaluation indépendante et rigoureuse : celle des méthodes employées par le rectorat dans sa communication aux familles.

Rappelons tout d’abord l’opacité statistique à laquelle est confronté celui qui cherche à comprendre les effets de la réforme de 2021 : sans le travail décisif qu’a réalisé Frédéric Gaume à l’aide des fiches-barèmes transmises par les familles, il n’aurait été possible de connaître ni le vrai barème d’Affelnet (en particulier le fait crucial que les notes du bulletin rapportent au maximum environ 3.300 points et non 4.800), ni les seuils d’admission pour les différents lycées. Autrement dit, l’analyse de l’amplitude de la discrimination, présentée dans la section I, n’aurait pas pu être réalisée.

Mais ce n’est pas tout. Le rectorat ne s’est pas en effet contenté de ne pas délivrer d’information (pour une raison que la présente étude ignore). Afin de vanter les effets de la réforme de 2021 et d’en estomper la radicalité ainsi que le caractère coercitif, il a également choisi de faire valoir des informations erronées ou des statistiques trompeuses.

Citons-en quelques-unes :

– La page du site de l’académie de Paris dédiée au bilan de la réforme22 vante « des lycées plus accessibles » et déclare que « le barème scolaire du dernier entrant a baissé dans tous les lycées parisiens ». Une affirmation dénuée de sens puisqu’en raison des bonus IPS, il n’existe plus un barème scolaire du dernier entrant, mais bel et bien trois barèmes — radicalement différents, comme nous l’avons vu — pour les trois catégories de collège.

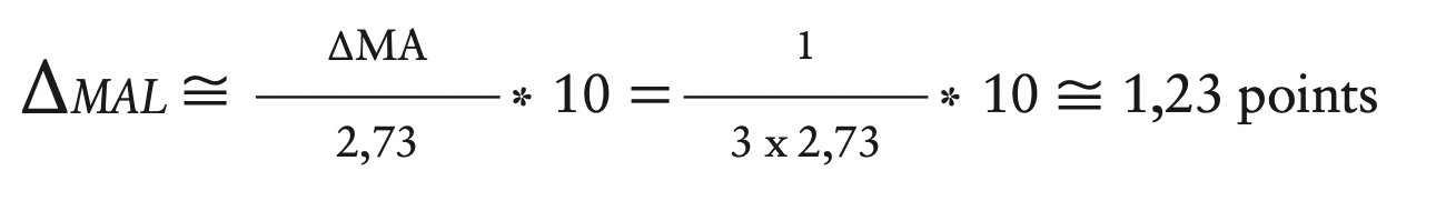
– Ce propos de Claire Mazeron, directrice académique en charge des lycées jusqu’en 2023 : « le bonus IPS ne représente que 2,7% des points, c’est un petit coup de pouce qui permet de compenser des résultats scolaires un peu moyens pour rentrer dans un lycée attractif23 ». Il est, nous l’avons montré, tout à fait impossible de qualifier le bonus IPS et la discrimination de grande ampleur qu’il engendre de « petit coup de pouce ». Et son poids en pourcentage dans le barème est une statistique dépourvue de signification. Pour s’en apercevoir, il suffit de considérer, par exemple, que ce pourcentage prend en compte le bonus géographique. Or, comme nous l’avons précisé, le nombre de points associé au secteur 1 fait du critère géographique une priorité absolue. Autrement dit, les élèves « en concurrence » pour un même lycée ont tous le même bonus : les 32.640 points du secteur 1. Cela signifie qu’on peut transformer ces points de secteur 1 en 100.000 points ou même en 500.000 points (et faire baisser encore de cette manière le poids en pourcentage du bonus IPS dans le barème total) sans rien changer aux affectations. En fait, les points qui comptent réellement pour l’admission à un lycée donné sont ceux qui « s’inscrivent à la marge », c’est-à-dire ceux qui ne sont pas communs à tous les élèves qui candidatent à ce lycée, ce que le pourcentage communiqué par Claire Mazeron ne prend nullement en compte.

– L’affirmation de Christophe Kerrero24, le recteur de l’académie de Paris, selon lequel « il n’y a pas eu d’assignation à résidence, puisque 31 lycées sur 44 ont offert 717 places en secteur 2 ou secteur 3 ». Une telle donnée est en contradiction avec le « tableau collaboratif » des seuils d’admission 2021 qui montre que pour les non-boursiers, le nombre de lycées accessibles hors secteur 1 est non pas de 31 mais de 16, soit la moitié. Dans l’hypothèse où elle serait juste, la statistique du recteur de l’académie de Paris s’appuie donc nécessairement – mais sans le préciser – sur les élèves boursiers.

On pourrait poursuivre cette liste, en ajoutant, par exemple, que dans divers communiqués, le rectorat s’est réjoui d’une augmentation du taux de satisfaction sur le premier vœu ou les trois premiers vœux sans jamais prendre en compte la restriction que la réforme a réalisée dans le choix des familles et l’autocensure qui en découle25.

Il n’est peut-être pas inutile, pour essayer de conclure cette section avec un degré plus fort de généralité, d’énoncer dans le langage propre à la théorie microéconomique le problème qui semble apparaître ici : l’opacité de la réforme et sa grande technicité ont créé de fortes « asymétries d’information » entre les familles et le rectorat, et donc une « rente informationnelle » pour ce dernier, lui permettant de ne pas divulguer, d’un côté, l’ampleur et la violence des moyens mis en œuvre et de l’autre de souligner parmi les effets de la réforme ce qu’il est possible de présenter sous un jour positif.

Il nous semble que ce travail de tri réalisé dans une information complexe constitue un nouveau type de dérive pour une administration, qu’il convient de ne pas négliger, sous peine de le voir se répandre à la faveur de l’actuel engouement pour les données statistiques et l’utilisation croissante des algorithmes.

Dans les quatre sections qui suivent, nous examinons l’évaluation de la réforme qui a été réalisée en février 2023, dans les notes 88 et 89 de l’Institut des politiques publiques (IPP)26, par Julien Grenet (le président de son comité de suivi) et Pauline Charousset.

III Partie

Mixité sociale : un cri de victoire trompeur

Notes

27.

Le Monde, Le Figaro, L’Obs, Le Parisien, 20 Minutes, le Journal du Dimanche, Libération, etc.

+ -

Le premier point central de l’évaluation est un cri de victoire qui concerne l’objectif de mixité sociale : grâce à la réforme, la « ségrégation sociale » aurait baissé de 39% en deux ans. Un « chiffre choc » qui a été amplement repris, à travers une campagne de presse d’une envergure impressionnante, par presque tous les grands médias français27. Dans cette section, nous établissons que pourtant la significativité de cette statistique, fondée sur la baisse en pourcentage de « l’indice de ségrégation sociale » (un indice à la définition complexe calculé sur la base de l’Indice de Position Sociale), est faible.

1

Quelques réflexions sur l’Indice de Position Sociale (IPS)

Notes

28.

T. Rocher, Construction d’un indice de position sociale des élèves, Éducation & formations, DEPP, 2016 (en ligne).

+ -

29.

Ibid., tableau 2 : IPS de 149 pour le premier (PCS 42) versus 140 pour le second (PCS 23).

+ -

30.

Ibid. : IPS de 163 pour une mère professeur à l’université (PCS 34) versus 128 pour une mère chef d’entreprise de 10 salariés ou plus (PCS 23).

+ -

31.

Cette vision, à nos yeux problématique, du « mérite » a été en particulier défendue et théorisée par Élise Huillery dans un chapitre de l’ouvrage collectif La Gauche du réel. Un progressisme pour aujourd’hui, Fondation Jean Jaurès, Éditions de l’Aube, 2019.

+ -

Avant de présenter plus finement et en termes plus mathématiques « l’indice de ségrégation sociale », il nous paraît nécessaire de pointer au passage, par une remarque préalable, un premier problème de méthode, que le sujet de la présente étude ne nous permet pas de développer plus longuement mais qui nous semble cependant loin d’être anodin : comme nous le verrons dans la section suivante, « l’indice de ségrégation sociale » part du présupposé que la dispersion de l’IPS (en l’occurrence ici sa variance mathématique), sur laquelle il se fonde dans sa construction élaborée, constitue une bonne mesure de la notion de mixité sociale. Or ce présupposé est tout à fait contestable.

Soyons plus précis. Comme son nom ne l’indique pas – et c’est un fait curieux et pour tout dire bien regrettable – l’indice de Position Sociale est en réalité un indice scolaire (ou socioscolaire) : il a été construit pour mesurer les chances de réussite scolaire d’un élève. Plus précisément, pour sa construction, un certain nombre de variables (dites « médiatrices ») susceptibles d’avoir un impact sur la réussite scolaire ont été identifiées : diplômes des parents, conditions matérielles du foyer, composition familiale, niveau d’ambition et d’implication des parents, pratiques culturelles de la famille et de l’élève, etc. Après avoir quantifié les poids de ces différentes variables dans la réussite scolaire, on a associé à chaque « profession et catégorie sociale » (PCS) son « score moyen » pour chacune d’elle. On a ainsi construit pour chaque PCS une « proximité moyenne à l’école »28. Autrement dit, l’IPS a été élaboré pour que sa dispersion (au sein d’un établissement par exemple) puisse constituer non pas un prédicteur de la mixité sociale mais de la mixité scolaire.

Ce problème méthodologique a des conséquences tout à fait concrètes : l’Indice de Position Sociale n’est pas le reflet de ce que le langage courant entend habituellement par « position sociale », et encore moins celui d’un niveau d’aisance matérielle. On peut garder à ce sujet cette illustration à l’esprit : le fils d’instituteur est considéré par cet indice comme plus « favorisé » que le fils d’un patron du CAC 4029. Et la dispersion de l’IPS n’est pas non plus un juste miroir de ce qu’on entend d’ordinaire par l’expression « mixité sociale ». Irait-on, par exemple, voir dans le fait que la fille d’une mère qui dirige une start-up soit amie avec la fille d’une mère professeur à l’université un exemple de « mixité sociale » ? Bien sûr que non. Pourtant, l’écart d’IPS entre ces deux mères est de 35 points30.

Notons-le au passage : la confusion par laquelle on nomme « indice de position sociale » un indice à vocation scolaire n’est pas sans importance sur le plan philosophique. Elle revient en effet à voir, d’une manière subreptice (c’est-à-dire via un indicateur à la signification obscure) dans l’enfant « scolairement favorisé » un enfant « favorisé tout court ». Un raisonnement qui conduit à regarder comme de « la reproduction sociale » certains parcours qui étaient auparavant considérés, au contraire, comme des exemples « d’ascension sociale » : ainsi, l’admission d’un fils d’instituteur dans une grande école prestigieuse ou la réussite d’un Marcel Pagnol à l’examen des bourses de Sixième. Le sujet de la présente étude ne nous permet pas d’entrer ici dans un raisonnement plus long mais il ne nous paraît pas inutile de souligner qu’une telle vision, qui revient (consciemment ou inconsciemment) à s’introduire à l’intérieur du fonctionnement des familles pour juger du « mérite propre » des enfants, présente bien des limites et bien des dangers31.

2

« 39 % ! » et la réalité des choses

Notes

32.

Pour les détails de sa construction, voir l’annexe B.

+ -

33.

La variance est définie pour un indice donné comme la moyenne du carré des écarts à la moyenne. Plus elle est élevée, plus la dispersion est grande dans la distribution de cet indice.

+ -

34.

C’est une conséquence immédiate du théorème de décomposition de la variance. Voir annexe B2.

+ -

35.

Ibid.

+ -

36.

La note 88 justifie (d’une manière à nos yeux convaincante) le choix de l’année 2019 comme année de référence pour mesurer l’évolution des indices de ségrégation sociale et scolaire par « le caractère atypique de l’année 2020 – la crise sanitaire ayant perturbé le fonctionnement de la procédure Affelnet et entraîné l’annulation des épreuves du brevet ».

+ -

37.

Ces données ne sont pas en libre accès mais figurent sur un histogramme des slides du comité de suivi (p. 32). Le cas spécifique des lycées Henri-IV et Louis-le-Grand est traité séparément (voir section VI).

+ -

Explicitons à présent brièvement le contenu mathématique de ce ratio qu’est l’indice de ségrégation sociale32 :il s’agit de comparer, en les divisant, la « variance33 interlycée », c’est-à-dire la variance des IPS moyens des différents lycées (en se restreignant aux classes de seconde) à la variance totale des IPS (parmi l’ensemble des élèves de seconde des lycées publics parisiens). Comme la variance est toujours positive et que la variance interlycée est toujours inférieure ou égale à la variance totale34, ce ratio est toujours compris entre 0 et 1.

Soyons plus précis. L’idée sous-jacente pour la construction de « l’indice de ségrégation sociale » peut être illustrée de la manière suivante. Imaginons un modèle qui, afin de prédire l’IPS de chaque élève utilise l’IPS moyen du lycée où cet élève étudie. « L’indice de ségrégation sociale » est un reflet de la « qualité » de ce modèle : il correspond à la part de la variance totale de l’IPS que ce modèle peut expliquer, prévoir, c’est-à-dire celle qui provient de la variance interlycée. Quand l’indice de ségrégation sociale est égal à 0, la variance des IPS moyens des différents lycées est nulle. Autrement dit, tous les lycées ont le même IPS moyen et le modèle considéré a une valeur prédictive nulle. L’IPS moyen du lycée où un élève étudie ne donne aucun indice sur son IPS individuel. On considère qu’il n’y a « pas de ségrégation ». Lorsqu’au contraire, cet indice est égal à 1, la variance des IPS moyens des différents lycées est égale à la variance des IPS et il est possible de montrer que tous les élèves de seconde au sein d’un même lycée ont le même IPS35. On peut entièrement prédire l’IPS d’un élève à partir du lycée auquel il appartient. La « ségrégation » est complète.

La note 88 de l’IPP précise qu’à la suite de la réforme, l’indice de ségrégation sociale est passé de la valeur de 0,111 (201936) à celle de 0,068 (2022) et se réjouit donc d’une baisse de 39%. Une difficulté méthodologique d’envergure apparaît cependant ici. Elle concerne le fait qu’on examine l’évolution en pourcentage d’un indice dont le niveau est initialement très bas (0,111) : aussi cette évolution en pourcentage est très différente de celle qui serait obtenue si on effectuait une simple soustraction (baisse de seulement 0,043 points). À quelle mesure doit-on dès lors se fier ? Laquelle constitue le plus juste reflet de la réalité ?

Ce type de questions est en fait un grand classique de l’interprétation des statistiques. On peut, afin de l’illustrer d’une manière extrêmement élémentaire, songer à l’histoire suivante. Imaginons qu’une étude (scientifiquement valide) montre, au sujet d’une maladie mortelle mais très rare (la probabilité d’être atteint de cette maladie est inférieure à 1 sur 10 millions), qu’un traitement préventif coûteux (changement drastique de régime alimentaire par exemple) permet de diviser la probabilité de tomber malade par 10. Que va faire un individu à la lecture de cette étude ? Va-t-il se fier à l’évolution « en pourcentage » (diminution de 90% du risque) et réaliser les efforts nécessaires pour suivre le traitement préventif, ou considérer au contraire l’évolution mesurée par simple soustraction, qui est ici infime (passage de 1 sur 10 millions à 1 sur 100 millions, c’est-à- dire, diminution de seulement 9 sur 100 millions) et refuser de changer ses habitudes ? Ici, la réponse s’impose d’une façon très naturelle : il considèrera que c’est l’évolution par soustraction qui constitue un juste reflet de la réalité et ne suivra pas le traitement préventif.

Que peut-on dire dans le cas plus complexe de l’indice de ségrégation sociale ?

Pour éclairer cette question d’une manière simple, il est possible d’examiner, au-delà de la statistique synthétique et élaborée qu’est l’indice de ségrégation sociale, le détail des variations entre 2020 et 2022 des IPS moyens (pour les classes de seconde) des 44 lycées publics parisiens concernés par la réforme37.

Évolution entre 2020 et 2022 des IPS moyens des 44 lycées publics parisiens

Notes

38.

La valeur de 124 est celle indiquée sur les slides du comité de suivi pour l’IPS moyen des élèves de seconde admis dans un lycée public parisien (en 2020 comme en 2022).

+ -

39.

La valeur de 124 est celle indiquée sur les slides du comité de suivi pour l’IPS moyen des élèves de seconde admis dans un lycée public parisien (en 2020 comme en 2022).

+ -

40.

Nous employons cette terminologie en suivant la documentation de l’Éducation nationale consacrée à l’IPS qui précise que « l’IPS étant basé sur les PCS déclarées par les familles et enregistrées par les établissements, il est soumis à une certaine marge d’erreur : ainsi, il est conseillé de ne pas surinterpréter des différences de 3 points ou moins concernant les IPS moyens des établissements ».

+ -

41.

Comité de suivi, op. cit.

+ -

42.

Dans la communication du rectorat aux médias (20 minutes, Challenges, Le Monde…), le lycée Voltaire est souvent cité comme un exemple-type : il est en réalité une exception.

+ -

43.

Ce résultat est une conséquence du théorème de décomposition de la variance. Il est établi dans l’annexe B4.

+ -

On peut à partir de ce tableau réaliser ces quelques observations rapides :

– 18 lycées sur 44 ont vu leur IPS moyen évoluer « dans le mauvais sens » à la suite de la réforme, c’est-à-dire s’éloigner de la moyenne académique de 124 et non s’en rapprocher.

– Pour 19 lycées, l’IPS moyen s’est rapproché de cette moyenne d’une manière non significative (moins de 3 points : 12 lycées) ou faible (moins de 6 points : 7 lycées)40.

Autrement dit, 7 lycées – et 7 lycées seulement – ont réalisé en termes de « mixité sociale » (mesurée – fort mal, comme nous l’avons vu – par l’IPS) des progrès tangibles. Examinons à présent ces 7 lycées de plus près. Ce sont :

– 3 « lycées de niveau » (Fénelon, Condorcet, Charlemagne) qui sont devenus, comme nous l’avons souligné, inaccessibles ou très difficiles d’accès pour les élèves de collèges sans bonus IPS ;

– 2 lycées particulièrement « peu attractifs » : les lycées Bergson et Paul-Valéry ; il convient de souligner ici la situation spécifique de ces deux lycées en ajoutant qu’au lycée Bergson, l’effectif des élèves de seconde a été divisé par plus de 3 entre 2020 et 2022 et au lycée Paul-Valéry par 2,541 ;

– enfin, 2 lycées qui font figure d’exception et où les progrès en termes de mixité sociale ont été réels (la question qui se pose demeurant, bien sûr, « à quel prix ? ») : les lycées Edgar-Quinet et Voltaire42.

Force est de constater, au terme de ce tour d’horizon très simple, que la réalité est bien éloignée du triomphant « 39% ! » dont le rectorat a fait, en s’appuyant sur la note 88 de l’IPP, le cœur de sa communication.

On peut également, pour compléter cette analyse, éclairer cette question d’une autre façon, en la présentant à l’aide d’un autre indice : « l’indice de mixité sociale ». On définit cet indice comme le complémentaire de « l’indice de ségrégation sociale » : la somme de « l’indice de ségrégation sociale » et de « l’indice de mixité sociale » est égale à 1. Ainsi, quand « l’indice de mixité sociale » est nul, la ségrégation est complète. Quand il est au contraire égal à 1, il n’y a pas de ségrégation. L’indice de mixité sociale a le mérite suivant : l’augmentation en pourcentage de la mixité sociale moyenne à l’intérieur de chaque lycée, c’est-à-dire de la moyenne des variances de l’IPS propres à chaque lycée (ce qu’on nomme la « variance intra ») est approximativement égale (en considérant que la variance totale de l’IPS est approximativement stable, une hypothèse raisonnable quand on prend en compte une courte période) à l’augmentation en pourcentage de l’indice de mixité sociale43. Autrement dit, si l’objectif est d’examiner la manière dont la mixité sociale a augmenté en moyenne à l’intérieur de chaque lycée à la suite de la réforme, c’est cet indice et non l’indice de ségrégation sociale qu’il convient de regarder. Or, cet indice est passé, à la suite de la réforme, de 0,889 (2019) à 0,932 (2022) : soit une augmentation de seulement 4,8%. Cela signifie (pour exprimer les choses dans une formule lapidaire similaire à celles qu’aime employer le rectorat dans sa communication) qu’à la baisse de 39% de la « ségrégation sociale » a correspondu une augmentation de la « mixité sociale », non pas de 39% mais d’à peine 5%.

L’opacité de l’IPS, sa large inadéquation avec la notion de mixité sociale ainsi que le caractère très agrégé du peu de données dont on dispose interdit ici bien sûr toute conclusion définitive. Cependant, il faut souligner au terme de cette brève analyse que la statistique de 39% ne constitue en rien un juste reflet de la réalité des effets de la réforme. Le fait que, dotée d’une « caution scientifique » et orchestrée par une campagne de presse particulièrement ample, elle ait pu trouver un tel écho dans la quasi-totalité des grands médias nationaux constitue un cas d’école inquiétant, et qui doit alerter, sur le pouvoir rhétorique des chiffres et leur fausse objectivité.

IV Partie

Mixité scolaire : une évaluation biaisée

1

La mixité scolaire est-elle un objectif souhaitable ?

Notes

44.

La construction de « l’indice de ségrégation scolaire » est similaire à celle de l’indice de ségrégation sociale (l’IPS est ici remplacé par le rang centile – à l’échelle nationale – aux épreuves écrites de mathématiques et de français du brevet).

+ -

45.

La mixité sociale est officiellement une mission du service public depuis 2013. Loi pour la refondation de l’école de la République [en ligne].

+ -

46.

Expression employée par Claire Mazeron dans le cadre de l’entretien accordé à « SMART ÉDUCATION » le 23 février 2022 (voir la vidéo disponible sur YouTube SMART ÉDUCATION – Émission du 23 février 2022 à partir de 1 minute 27).

+ -

47.

L’indice de mixité scolaire est le complémentaire de l’indice de ségrégation scolaire : la somme de ces deux indices vaut 1. En 2019, les valeurs de l’indice de mixité scolaire étaient donc de 0,91 hors capitale et de 0,587 à Paris.

+ -

48.

L’indice de mixité scolaire 2022 à Bordeaux est de 0,1 ; la moyenne nationale (hors Paris) est de 0,084 (cf. p. 28 et 35 du bilan du comité de suivi 2023).

+ -

La seconde statistique phare de l’évaluation réalisée par Julien Grenet et Pauline Charousset concerne la mixité scolaire, c’est-à-dire, la mixité des niveaux scolaires à l’intérieur d’un établissement (ou d’une classe) : d’après la même note 88 de l’IPP, la « ségrégation scolaire » (mesurée par l’indice de ségrégation scolaire44) est passée de 0,413 (2019) à 0,290 (2022) soit une baisse d’environ 30%. Cette statistique, bien qu’ayant comme la précédente un niveau d’opacité élevé de par sa construction, reflète ici une situation bien réelle : il est incontestable (nous avons examiné dans la section I de cette étude l’ampleur de la discrimination mise en place à cette fin) que la réforme est bel et bien parvenue à faire baisser le niveau de certains « lycées de niveau ».

La question qui se pose bien sûr est celle du caractère désirable ou non de ce changement. Car si la mixité sociale est incontestablement souhaitable (la question demeurant celle du poids à assigner à cet objectif récent45 en comparaison de l’objectif traditionnel et central de l’école qu’est la transmission des savoirs), il en va tout autrement de la mixité scolaire. Cette dernière présente en effet deux risques évidents et majeurs : d’une part, une trop forte hétérogénéité de niveau au sein d’une classe peut être source de difficultés sur le plan pédagogique. D’autre part, en ce qui concerne le cas particulier parisien, il est impossible de raisonner « en économie fermée » et on doit, pour réfléchir à l’évolution de l’enseignement public dans la capitale, prendre en compte l’existence d’un enseignement privé très attractif et d’un niveau souvent excellent.

Dans ce contexte, la communication du rectorat, pour promouvoir la réforme engagée, a consisté à faire passer l’augmentation de la mixité scolaire des lycées publics parisiens comme une affaire de simple bon sens, en s’appuyant sur le narratif suivant : Paris serait « scolairement ségréguée » au-delà du raisonnable et il s’agirait « d’une situation inédite en France »46. Dans cette rhétorique, une nouvelle statistique opaque, fondée sur l’indice de ségrégation scolaire, a été habilement utilisée : la capitale serait « 5 fois plus ségréguée que la moyenne nationale ». Le problème est que cette statistique est – comme celle des « 39% » que nous avons examinée dans la section précédente – trompeuse. En effet, l’indice de ségrégation scolaire est très faible en dehors de la capitale (0,09 en 2019), car seules les grandes villes ont la possibilité d’une offre diversifiée en termes de lycées publics. Le ratio utilisé a donc, une nouvelle fois, peu de signification et, si on s’appuyait sur « l’indice de mixité scolaire » (dont la construction est similaire à celle de « l’indice de mixité sociale » précédemment décrit47), il serait, là aussi, différent : la capitale, 5 fois plus « ségréguée scolairement » en 2019 était 1,5 fois moins « mixte scolairement » que la moyenne nationale.

La note 88 de l’IPP, qui se réjouit sans aucune forme de doute ni de nuance de l’augmentation obtenue en termes de mixité scolaire, semble, à l’instar du rectorat, considérer (implicitement) comme une évidence, un fait allant de soi, la nécessité de lisser le niveau des différents lycées publics parisiens. D’un point de vue scientifique, une telle posture étonne : les auteurs de la note ne peuvent pas en effet ignorer que littérature académique internationale en économie de l’éducation a produit, d’une manière bien légitime d’ailleurs en raison de la complexité de la question, des conclusions fortement hétérogènes quant aux effets (positifs ou négatifs) de la mixité scolaire. Pourquoi, dès lors, Julien Grenet et Pauline Charousset semblent-ils penser qu’une augmentation de cette mixité, est, dans les circonstances parisiennes, à coup sûr souhaitable ? Qu’est-ce qui justifie une pareille conviction ? Il est impossible de le savoir, aucune forme d’argumentation n’étant fournie dans leur note. Soulignons que cette absence d’argumentation est d’autant plus curieuse que les auteurs semblent avoir au moins partiellement conscience du peu de signification de la statistique choc du rectorat (la capitale « 5 fois plus ségréguée que la moyenne nationale ») : la conclusion de leur rapport d’évaluation précise en effet que « contrairement à une idée reçue, la ségrégation des établissements scolaires n’est pas un phénomène spécifiquement parisien et elle se retrouve à « des niveaux comparables » dans des agglomérations comme Bordeaux, Lyon ou Strasbourg ». Ainsi, pour les auteurs le cas de Bordeaux48, qui est, pour l’indice de ségrégation sociale, en dessous de la moyenne nationale (hors Paris) et dont l’indice de ségrégation scolaire est non pas 5 fois mais seulement 1,2 fois plus élevé que la moyenne nationale (hors Paris) est « comparable » à celui de Paris : il est bien certain qu’affirmer cela, c’est désavouer implicitement le narratif du rectorat. Mais alors, dans ce cas, par quels raisonnements Julien Grenet et Pauline Charousset ont-ils abouti à la même conclusion que ce dernier (la nécessité absolue de baisser le niveau des « lycées de niveau » parisiens) ? Nous ne le savons pas.

2

La question des moyens mis en œuvre

Notes

49.

Voir le dossier de presse sur le site de l’Éducation nationale, « la sectorisation des lycées dans l’académie de Paris », mai 2023.

+ -

50.

Voir par exemple l’article « Christophe Kerrero : l’enjeu n’est pas de s’attaquer à l’élite mais de l’élargir » sur le site Acteurs Publics, 26 août 2021.

+ -

Au-delà de la nécessité (ou non) de l’objectif de mixité scolaire, un autre sujet (qui n’est pas non plus abordée dans la note 88 de l’IPP) aurait mérité de faire l’objet d’une évaluation sérieuse et objective : celle des moyens mis en œuvre par le rectorat pour promouvoir cette mixité. Nous ne reviendrons pas sur l’analyse que nous avons produite dans la première section de cette étude, c’est-à-dire sur le fait qu’une discrimination de grande ampleur, avec des effets très négatifs pour nombre d’élèves, constitue l’ingrédient-clé des « progrès réalisés ». Nous souhaitons simplement souligner ici que le rectorat n’a pas opté pour une transformation progressive : le paramétrage choisi pour le nouveau barème a produit, d’une manière particulièrement brusque, dans les « lycées de niveau » des changements importants.

Il n’est pas impossible que, paradoxalement, on puisse malheureusement compter, parmi les premières victimes du désordre induit par la brusquerie de cette réforme, certains élèves issus de milieux défavorisés qui, propulsés à la faveur de leur bonus IPS dans un établissement trop exigeant, y ont connu en classe de seconde une situation d’échec. De nouveau, l’opacité statistique est trop forte pour qu’on puisse dans cette étude prétendre réaliser sur cette question, dont il faut souligner le caractère particulièrement cruel, un bilan complet. On se contentera donc de cette information (parcellaire mais qui nous semble avoir pour le moins le mérite de montrer la vraie nécessité d’un examen plus attentif) : dans un lycée de renom de la rive droite, le nombre d’élèves avec une moyenne strictement inférieure à 7 en mathématiques est passé en un an de 7 (1er semestre de l’année scolaire 2020-2021) à 29 (1er semestre de l’année scolaire 2021-2022). Et le pourcentage « d’avis réservé ou défavorable » pour la 1ère générale est passé de moins de 0,5% (1er semestre de l’année scolaire 2020-2021) à plus de 10% (1er semestre de l’année scolaire 2021-2022).

Le dossier de presse réalisé par le ministère de l’Éducation pour le plan « en faveur de la mixité sociale et scolaire dans l’enseignement », affirme qu’ à la suite de la réforme, l’académie de Paris a « mieux réparti » les séries technologiques au sein des lycées parisiens, « afin que les élèves les plus fragiles, affectés dans des lycées socialement favorisés, n’en soient pas exclus après la classe de seconde GT »49. Fort bien : ces élèves pourront donc continuer de profiter des mêmes murs et de la même cantine. Mais la véritable question, la question sérieuse, est bien sûr la suivante : est-ce que ces élèves auraient également été, sans le cadeau (peut-être empoisonné) qui leur a été fait, orientés de la même façon ? Il convient en effet de garder à l’esprit qu’une trop forte hétérogénéité scolaire peut être non seulement préjudiciable pour les meilleurs élèves, mais aussi pour les plus fragiles, et ceci pour toutes sortes de raisons : le rythme des cours peut ne pas être adapté à eux ; le niveau de leurs camarades de classe peut également les conduire à se dévaloriser, se décourager. Qu’en est-il ici ? Que s’est-il passé à l’échelle parisienne ? Nous ne pouvons malheureusement apporter aucune réponse à ces questions pourtant essentielles. Nous savons que ces parcours malheureux existent mais nous ignorons dans quelle proportion et les trajectoires de ces élèves sont invisibilisées : ce type d’information ne figure ni dans la note 88 ni dans aucun document officiel du rectorat. C’est bien sûr très regrettable.

Sur ce même sujet, un autre aspect qui mériterait également d’être analysé est celui du soutien financier attribué aux « lycées de niveau » afin qu’ils puissent s’adapter au nouveau profil de leurs élèves. Accompagnement personnalisé, tutorat : le rectorat avait pris un engagement en ce sens en 202150. Qu’en est-il aujourd’hui ? De quelle manière l’a-t-il tenu ? De nouveau, le citoyen qui se pose ces questions ne pourra obtenir de réponse.

V Partie

La fuite vers le privé : enjeu crucial mais négligé

Notes

51.

Voir par exemple, sur le site de l’Éducation nationale, la note d’information de la DEPP « Évolution de la mixité sociale des collèges », juillet 2022, qui montre que le secteur privé « scolarise de plus en plus d’élèves de milieu favorisé ».

+ -

52.

Il est en effet passé de 401 en 2020 à 525 en 2022, quand le nombre d’élèves quittant un collège privé pour entrer dans un lycée GT public est passé de 697 à 642 (cf. p. 39 des slides du comité de suivi).

+ -

53.

Challenges, 14 avril 2023 : « Face à l’envolée de la ségrégation sociale à l’école, l’enseignement privé s’engage enfin ».

+ -

En baissant délibérément le niveau de ses « lycées de niveau », la réforme de 2021 a rendu l’enseignement public moins attractif. Elle l’a aussi rendu bien plus risqué, en raison de la discrimination dont souffrent à présent certains collèges. On pourrait également ajouter — car ce détail n’est pas sans importance pour des familles légitimement soucieuses de se projeter dans le temps — que la violence de la réforme, l’effet de surprise qui lui a été associé (la nouvelle sectorisation des lycées a été publiée en mars 2021 pour une affectation en juin) ont dévoilé un pouvoir de l’État en matière d’éducation publique lui permettant des décisions aussi imprévisibles que brutales et une administration dont il convient de se protéger. Autant de motifs pour rejoindre l’enseignement privé.

Certes, le rectorat est décisionnaire en ce qui concerne les ouvertures de classes. Cependant, même dans ce cadre, la volonté des familles — et en particulier des familles dont les exigences scolaires sont élevées — de renoncer à l’enseignement public et de fuir vers le privé peut avoir des conséquences importantes, car elle est susceptible d’augmenter a segmentation scolaire public/privé. En effet, toute augmentation du nombre des candidatures soumises à des établissements privés engendre mécaniquement une sélectivité accrue du privé et donc une augmentation du niveau de ses élèves. Un danger à regarder d’autant plus attentivement qu’il comporte bien sûr un risque de cercle vicieux et « d’effet cliquet » (les bons établissements attirant les bons élèves) et que la segmentation public/privé a — c’est un fait à présent bien connu51 — fortement augmenté durant ces dernières années.

Dans un tel contexte, la rapidité dont font preuve les auteurs de la note 88 pour examiner cette question surprend. Ces derniers se contentent en effet de considérer les flux public/privé qui se produisent à la fin de l’année de troisième. Autrement dit, ils paraissent ignorer que les familles sont capables d’anticipation dans leurs stratégies, et que nombre d’entre elles savent très bien que les listes d’attente étant souvent longues, la prudence invite à réaliser des choix très tôt, c’est-à-dire, à l’entrée dans le collège, voire dès l’école primaire.

Et il faut souligner que même en s’en tenant à cette unique statistique, bien insuffisante, des flux de fins de troisième, les effets de fuite vers le privé liés à la réforme Affelnet ne paraissent pas entièrement négligeables, puisque le nombre d’élèves scolarisés en troisième dans un collège public entrant en 2de GT dans un lycée privé sous contrat a augmenté de plus de 30% en deux ans52. Quand on prend en compte le fait que le rectorat, décisionnaire sur les ouvertures de classes, dispose d’un outil de contrôle puissant, on peut imaginer que cette statistique cache un effet plus ample en termes d’augmentation de l’attractivité du privé. Un tel raisonnement paraît cependant échapper aux auteurs de la note qui se contentent de ce constat (faussement) rassurant : « le nombre d’élèves concernés par ces départs vers le privé reste inférieur au nombre de collégiens du privé qui rejoignent un lycée public à l’entrée en seconde générale et technologique ». Un argument qui ne serait valide que si le nombre d’élèves demandant une place en seconde dans le privé était égal à celui des élèves y obtenant une place, ce qui n’est pas bien sûr le cas.

L’optimisme dont fait ici preuve la note 88 étonne d’autant plus que son principal auteur, Julien Grenet, le président du comité de suivi, a produit quelques semaines plus tard une analyse toute autre53, dans laquelle il s’alarme de l’augmentation violente de la part du privé dans la scolarisation parisienne depuis deux ans (« Alors que la part de l’enseignement privé est resté stable autour de 34% entre 2005 et 2020, elle augmente chaque année d’un point depuis » ; « Le seul endroit où une telle envolée a été constatée dans l’Histoire est au Chili, après la réforme éducative de… Pinochet ! ») pour conclure que, si rien n’est fait, « d’après ses derniers calculs, dans dix ans, près de la moitié des élèves parisiens de sixième seront inscrits dans des collèges privés ». Bien sûr, il ne s’agit pas ici d’affirmer que la totalité du phénomène observé serait due à la réforme Affelnet et il est certain que la diminution de la population parisienne explique en partie l’augmentation de la part du privé : il existe en effet des listes d’attente dans la plupart des établissements privés dont, par conséquent, les effectifs ne baissent pas, malgré la baisse démographique, tandis que les classes des établissements publics se vident progressivement. Cependant, inversement, le choix fait par les évaluateurs de la réforme d’évincer, sans aucune sorte d’argumentaire, la réforme parisienne de 2021 de toute responsabilité dans un phénomène qualifié par ailleurs de massif demeure difficilement compréhensible.

VI Partie

Le cas particulier des lycées Henri-IV et Louis-le-Grand

Notes

54.

Le principe de l’examen des dossiers est demeuré inchangé pour les candidatures non-parisiennes (élèves de 3ème non scolarisés ou non domiciliés à Paris).

+ -

55.

Les différentes statistiques présentées dans cette section s’appuient sur la note 89 de l’IPP : « Peut-on concilier ouverture sociale et excellence scolaire ? Un premier bilan de l’intégration des lycées Henri-IV et Louis-le-Grand à la procédure Affelnet » [en ligne].

+ -

56.

Pour le lycée Louis-le-Grand, la répartition par IPS des collèges d’origine est passée de 46% (collèges « à IPS fort ») / 32% (collèges « à IPS moyen ») / 21% (collèges « à IPS faible ») à 41% (collèges « à IPS fort ») / 37% (collèges « à IPS moyen ») / 22% (collèges « à IPS faible ») ; pour le lycée Henri-IV, le changement est un peu plus marqué en raison de la diminution du nombre d’élèves du collège Henri-IV admis dans ce lycée : passage de 60% (collèges « à IPS fort ») / 26% (collèges « à IPS moyen » ) / 14% (collèges « à IPS faible ») à 47% (collèges « à IPS fort ») / 31% (collèges « à IPS moyen ») / 22% (collèges « à IPS faible »). Le pourcentage de boursiers parmi les élèves parisiens est passé 8% à 14% au lycée Henri-IV et de 8% à 22% au lycée Louis-le-Grand.

+ -

57.

Cette information figure dans la note 1 de la page 3. Le corps de la page 3 évoque de son côté le chiffre de 1.680 élèves : « 2.935 élèves (dont 1.255 extérieurs à l’académie de Paris) ont déposé un dossier de candidature pour intégrer les lycées Louis-le-Grand et Henri-IV. » Il y a bien sûr ici une contradiction dans la note. Nous avons choisi (peut-être à tort) le chiffre de 977 car nous avons pensé que celui de 1.680 (soit environ le double) correspondait au nombre non pas d’élèves mais de dossiers déposés dans un des deux lycées (la plupart des élèves qui candidatent dans un des deux lycées candidatent en effet également dans l’autre).

+ -

58.

Voir annexe A. Rappelons qu’une note inférieure à 15 à un trimestre en sport coûte 22 points et que le score maximal d’un élève non-boursier issu d’un collège sans bonus IPS est de 40.741 points.

+ -

En 2022, un an après le lancement du nouvel Affelnet pour les autres lycées GT publics de la capitale, le rectorat de l’académie de Paris a décidé de faire entrer dans cette procédure les candidatures parisiennes54 aux lycées Henri-IV et Louis-le-Grand. Le double objectif affiché était, comme le rappelle la note 89 de l’IPP55 qui porte sur ces deux établissements, d’un côté, « d’apporter plus de transparence au processus d’admission dans ces lycées et d’accélérer leur ouverture sociale» et, de l’autre, de « maintenir leur niveau d’excellence scolaire ».

Il est permis de s’interroger, en passant, sur la cohérence de ce discours. Quel peut bien être en effet le sens de préserver un îlot d’excellence sur la montagne Sainte-Geneviève alors que la politique suivie partout ailleurs consiste à baisser le niveau des bons lycées publics ? Pourquoi une telle dichotomie ? Que signifie-t-elle ? La mixité scolaire serait-elle donc souhaitable partout à l’exception de deux rues du 5ème arrondissement ? Il nous est impossible de donner une réponse à ces questions : ni le rectorat ni la note 89 ne semblent percevoir ces contradictions.

La réforme a consisté à employer la procédure suivante : le barème Affelnet a été utilisé pour classer les candidatures parisiennes et des quotas de boursiers similaires à ceux des autres lycées parisiens ont été définis. Les seules différences de traitement en comparaison des autres lycées publics parisiens concernent donc, d’une part, la sectorisation géographique (les deux lycées ont été placés en secteur 1 pour l’ensemble des collèges parisiens) et, d’autre part, les « bonus IPS » qui ont été remplacés par un système de quotas de manière que la ventilation des admis (boursiers et non boursiers) selon le collège de scolarisation (« IPS faible », « IPS moyen » ou « IPS fort » ) se rapproche « de la répartition observée parmi l’ensemble des élèves des lycées GT publics de la capitale ». La note d’évaluation ne donne pas les valeurs de cette répartition-cible. Il est donc impossible de savoir à quel point la réforme est parvenue à s’en approcher. Il convient cependant d’observer que la répartition des élèves selon le collège d’origine n’a été que peu modifiée à la suite de cette dernière, les changements mis en place en termes de quotas concernant essentiellement la proportion d’élèves boursiers56.

Un point mérite ici d’être noté : si le rectorat a annoncé sa décision d’intégrer Henri-IV et Louis-le-Grand dans la procédure Affelnet en janvier 2022, il n’a fait connaître que très tardivement les véritables modalités de cette intégration. Plus précisément, dans ses différentes discussions avec les associations de parents d’élèves des deux lycées, il a soutenu jusqu’en avril 2022 que, pour la prise en compte des résultats scolaires, des règles adaptées, plus fines que le barème Affelnet, étaient en cours d’élaboration. Qu’il soit lié à une volonté délibérée d’opacité ou à une simple impréparation, ce « problème de communication » a eu la conséquence suivante : si, entre janvier et fin mars, la fin du régime d’exception pour les lycées Henri-IV et Louis-le-Grand a fait l’objet de nombreux articles dans les médias, il n’a jamais été présenté dans les bons termes, c’est-à-dire avec une information claire sur les « singularités » de la procédure qui allait être finalement mise en œuvre (la règle « 15 = 20 », l’importance cruciale du socle de compétences, etc.).

Récapitulons à présent brièvement les résultats de la réforme de 2022 en nous appuyant sur les informations données par la note 89 : 977 élèves parisiens ont candidaté dans (au moins) un des deux lycées57. Sur les 344 élèves qui ont été admis (dans un des deux lycées), 234 élèves avaient le barème Affelnet maximal (c’est-à-dire plus de 15 à chaque trimestre et dans chaque matière et une « très bonne maîtrise » des 8 compétences du « socle commun »). Cette condition était donc une condition suffisante. Les 110 places restantes ont été distribuées en suivant le barème Affelnet ; il est difficile d’en dire plus car la note 89 de l’IPP ne fournit pas les seuils d’admission qui, pour chaque type de collège (« IPS faible », « IPS moyen » ou « IPS fort » ), ont prévalu pour chacun des deux lycées et – point dont il faut souligner le caractère curieux – ces seuils ne figurent pas non plus sur les fameuses « fiches-barèmes » que peuvent récupérer auprès du rectorat les élèves qui en font la demande. Les fiches-barèmes qui ont été mises à notre disposition permettent toutefois d’affirmer que pour un élève non- boursier issu d’un collège « favorisé », les seuils d’admission des deux lycées étaient, pour la rentrée 2022, supérieurs à 40.728 points. On en déduit qu’une note inférieure à 15 en sport à un trimestre était éliminatoire58 pour cette catégorie d’élèves. On peut donc imaginer que certains élèves de troisième n’ont pas pu franchir, à la rentrée 2022, les portes des deux prestigieux lycées, malgré l’excellence de leurs résultats scolaires, parce qu’ils présentaient un peu d’embonpoint, étaient de petite taille ou souffraient de tel ou tel handicap physique diminuant leurs performances sportives. Qu’il soit permis de le noter au passage : il y a là non seulement une bizarrerie stupide mais aussi une forme de discrimination.

Au terme de cette rapide section, une remarque s’impose : il aurait évidemment été possible, et même très simple, de réaliser le même système de quotas (le changement essentiel étant, encore une fois, celui des boursiers) tout en préservant le principe de l’évaluation sur dossier. Pourquoi dès lors, le rectorat n’a-t-il pas fait ce choix à la fois facile et rationnel, et qui n’aurait représenté qu’une réforme très légère pour les deux établissements ? Si son objectif était véritablement de maintenir l’excellence scolaire, par quelle sorte de raisonnement a-t-il pu penser que le barème Affelnet, dont nous avons décrit les nombreuses singularités et anomalies dans l’introduction de cette étude, pouvait constituer un outil plus fin, plus efficace qu’une commission de professeurs ? Quand on sait de plus à quel point la règle « 15 = 20 » est méconnue, à quel point la part d’opacité et d’arbitraire est importante dans les mentions des bilans de compétence – sans compter les différents flous qui entourent la nouvelle procédure, aussi bien en termes d’objectifs (quels quotas sont visés ?) qu’en terme de résultats (quels seuils d’admission ont été retenus ?) – il est tout à fait impossible de conclure que le changement réalisé a permis le moindre gain en transparence. Comment dès lors comprendre la décision de l’académie de Paris ? De nouveau, la présente étude n’a pas de réponse.

Notes

59.

L’indice utilisé est l’indice de ségrégation sociale mais le maillage (l’indice de ségrégation sociale est-il défini à l’échelle nationale ? académique ?) n’est pas précisé (une note en bas de la page 11 du dossier de presse précise simplement que l’indice de ségrégation « peut être calculé sur n’importe quel territoire »). Or le choix du maillage est crucial. Pour un exemple permettant d’illustrer ce point, voir annexe C.

+ -

Règles sans justifications, aussi cruciales qu’ignorées, consignes incompréhensibles, noms trompeurs, opacité statistique et statistiques élaborées mais dénuées de sens… Se pencher sur la réforme de 2021, c’est découvrir, loin des rivages cartésiens, un monde similaire à celui de la petite Alice dans l’œuvre de Lewis Caroll : l’absurdité règne à ce point en maître qu’on se demande si un tel spectacle a lieu dans une « démocratie avancée » ou dans un rêve.

Un réveil est sans doute aujourd’hui nécessaire, sous peine de voir les phénomènes décrits dans la présente étude se reproduire demain.

À vrai dire, le risque est malheureusement réel de les voir même se démultiplier. Parce que le mot « mixité » est, semble-t-il, devenu pour certains (dans une confusion étrange qui considère indistinctement des concepts aussi différents que ceux de mixité sociale, de mixité scolaire ou d’inclusion des élèves en situation de handicap) un mot magique, voire un mot miracle au sein des difficultés que traverse actuellement l’école, mais aussi, d’une manière plus concrète, en raison de la « mobilisation en faveur de la mixité sociale et scolaire » qu’a lancée l’ancien ministre Pap Ndiaye en mai 2023.

Dans le dossier de presse que le ministère de l’Éducation a consacré à ce tout récent plan, un éloge de la réforme de 2021 figure d’ailleurs en bonne place, à travers un petit encadré qui mérite lecture. La statistique de 39% y est à nouveau fièrement brandie et le lecteur peut apprendre que le « choix plus réduit de lycées [a permis] de faire baisser le taux de pression sur les plus attractifs d’entre eux et de les rendre plus accessibles à tous les élèves » : au pays où 15 est égal à 20, tout semble aller pour le mieux.

C’est un pays curieux, où l’on aime produire des mathématiques (on y voit sans doute un gage d’objectivité, une démonstration de science), mais en quelque sorte, « pour de faux », comme disent les enfants. Des mathématiques sans rigueur, des chiffres en promenade : ainsi – soulignons cette ultime bizarrerie en guise de conclusion – le principal objectif de cette toute nouvelle mobilisation, « réduire la ségrégation sociale des établissements scolaires publics de 20% d’ici à 2027 », n’en est pas un puisque l’indice qu’on entend faire baisser n’est pas défini59.

L’abondance actuelle des données statistiques semble malheureusement avoir ouvert la voie à une nouvelle forme d’obscurantisme.

ANNEXE A

A.1. Présentation des deux lissages

Pour calculer le nombre de points attribués aux bilans périodiques, on applique successivement les opérations suivantes :

1/ Premier lissage : les moyennes trimestrielles pour chacune des 11 matières sont converties en points selon des tranches de 5 points (moyenne entre 15 et 20 : 16 points ; moyenne entre 10 et 14,9 : 13 points ; moyenne entre 5 et 9,9 : 8 points ; moyenne entre 0 et 5 : 3 points).

2/ Les évaluations ainsi converties en points sont regroupées en 7 champs disciplinaires – français ; mathématiques ; histoire-géographie et enseignement moral et civique ; langues vivantes (LV1 + LV2) ; éducation physique et sportive ; arts (dessin + musique) ; sciences-technologie (SVT + technologie + physique-chimie) – et une moyenne annuelle est calculée pour chaque champ.

3/ Deuxième lissage : chaque moyenne annuelle de chaque champ est lissée de sorte qu’au niveau académique, la moyenne de chaque champ soit de 100 points et l’écart-type de 10 points. Plus précisément, pour chaque champ, la note lissée est définie par la formule suivante :

Notes

60.

Nous nous référons ici aux données publiées par Frédéric Gaume sur son site.

+ -

où MAL est la Moyenne Annuelle Lissée, MA la Moyenne Annuelle (calculée à l’issue de l’étape 2), μ la moyenne annuelle académique (à l’issue de l’étape 2) et σ l’écart-type académique (des moyennes annuelles à l’issue de l’étape 2).
4/ Une moyenne pondérée est calculée en attribuant un coefficient à chaque champ disciplinaire (5 pour le français et les mathématiques et 4 pour les 5 autres champs).

 

A.2. Quelques ordres de grandeur

Les moyennes et les écarts-types par champ ne figurent sur aucun document réalisé par l’académie de Paris à destination des familles. Il est cependant possible pour un élève de demander au rectorat, après son affectation, sa « fiche-barème ». Sur cette fiche figure, pour chaque matière, la moyenne annuelle après le premier lissage ainsi que, pour chaque champ, la moyenne annuelle lissée (MAL). On peut donc, pour un champ donné, reconstituer à partir de deux fiches-barèmes (ayant des moyennes annuelles [MA] différentes pour ce champ) la moyenne annuelle académique et l’écart- type académique (cela revient en effet simplement à résoudre un système linéaire de deux équations à deux inconnues). Ainsi, pour l’année 2023 (ces moyennes et ces écarts-types varient très peu d’une année à l’autre), on obtient le tableau suivant60 :

On peut observer que les écarts-types sont parfois très différents d’un champ à l’autre. Aussi, le lissage effectué à l’étape 3 a pour conséquence que l’impact du passage d’un « seuil » (celui de 5, de 10 ou celui de 15) dépend crucialement de la matière considérée.

Donnons quelques exemples à titre d’illustration. L’écart-type en mathématiques est d’environ 3,9. Par conséquent, le passage du seuil de 15 à un trimestre en mathématiques, qui augmente la moyenne annuelle MA de ce champ de :

Le coefficient des mathématiques étant égal à 5, on peut finalement en conclure que le passage du seuil de 15 à un trimestre en mathématiques rapporte 5 × 2,56 ≅ 13 points. L’écart-type en EPS est beaucoup plus faible : environ 1,8. Par conséquent, le passage du seuil de 15 à un trimestre en EPS, qui augmente la moyenne annuelle de 1 point (par le même calcul que celui effectué pour les mathématiques) augmente la moyenne annuelle lissée MAL de :

Le coefficient de l’EPS étant égal à 4, on en conclut que le passage du seuil de 15 à un trimestre en EPS rapporte 4 × 5,56 ≅ 22 points. Pour calculer les points que rapporte le passage du seuil de 15 en physique-chimie, il faut prendre en compte le fait que la physique-chimie étant associée à deux autres matières dans le champ Sciences, le passage du seuil de 15 n’augmente la moyenne annuelle (MA) de ce champ que de 1/3 de point et non de 1 point. D’où :

Le coefficient du champ Science étant égal à 4, on obtient finalement : 4 × 1,23 = 5 points.

Un calcul similaire pour chaque matière permet d’obtenir, pour le passage du seuil de 15 à un trimestre, le tableau suivant (qui demeure stable d’une année à l’autre) :

En s’appuyant sur ce tableau, on peut vérifier que le passage du seuil de 15 (c’est-à-dire passer de 10 à 20) à un trimestre pour toutes les matières rapporte 115 points et pour l’ensemble de l’année, trois fois plus, c’est-à- dire 345 points.

 

A.3. Non pas 4.800 mais 3.300 points

Une autre conséquence importante du deuxième lissage est qu’il est en réalité impossible d’obtenir pour l’évaluation des bilans périodiques la quantité de 4.800 points qu’indique l’académie de Paris. Pour être plus précis : cette quantité serait accessible si pour chaque champ, la moyenne académique μ était égale à 10 et l’écart-type σ égal à 1. Un élève ayant 20 de moyenne dans chaque matière et à chaque trimestre (et donc 16 de moyenne annuelle (MA) dans chaque champ disciplinaire) obtiendrait alors pour chaque champ disciplinaire une moyenne annuelle lissée (MAL) égale à :

La somme des coefficients étant de 30 (deux champs disciplinaires de coefficient 5 et 5 champs disciplinaires de coefficient 4), on aurait finalement 30 × 160 = 4.800 points. Mais les moyennes académiques sont pour tous les champs disciplinaires supérieures à 10 et les écarts-types sont également tous supérieurs à 1. Ainsi, si on prend en compte la vraie valeur de la moyenne académique (11,841) et de l’écart-type académique (3,9154) pour les mathématiques, on voit que la MAL maximale qu’on puisse obtenir dans ce champ vaut :

Un calcul similaire peut être réalisé pour tous les champs disciplinaires. On obtient alors que la quantité maximale de points associée au bulletin scolaire n’est pas de 4.800 mais de 3.301 points.

On en déduit que le score maximal d’un élève non-boursier issu d’un collège sans bonus IPS est égal à 32.640 (bonus secteur 1) + 3.301 (bilans périodiques) + 4.800 (socle de compétences) = 40.741 points.

 

ANNEXE B

Nous nous intéressons, pour les définitions et raisonnements proposés dans cette section, à l’année 2022 (les mêmes raisonnements sont bien sûr valables pour les autres années).

 

1. Définitions des variances interlycée, intralycée et totale

Les indices de ségrégation sociale et de mixité sociale reposent sur les notions mathématiques de variance « inter » (ici : « interlycée »), « intra » (intralycée) et « totale ». Il est donc nécessaire de présenter tout d’abord les définitions de ces dernières.

On construit pour chaque lycée i un coefficient μi

N2022est l’effectif total des élèves de seconde scolarisés dans un lycée public parisien et Ni2022 l’effectif des élèves de seconde du lycée i. Autrement dit, μi représente le « poids » (en termes d’effectifs) du lycée i. On peut remarquer que l’IPS moyen de l’ensemble des élèves de seconde est la somme pondérée (par l’effectif) des IPS MOYENi2022 des 44 lycées publics i, c’est-à-dire :

Autrement dit, la variance interlycée est « la variance des moyennes » : la variance des IPS moyens des différents lycées i.
Pour définir la variance intralycée, il faut dans un premier temps calculer, pour chaque lycée i, la variance VARi2022 associée au lycée i, c’est-à-dire la variance de l’indice IPSj2022 des élèves j appartenant au lycée i :

La variance intralycée est alors la moyenne (pondérée par l’effectif) des variances associées aux différents lycées i :

C’est la « moyenne des variances » : la « mixité sociale moyenne » (si on accepte bien sûr de voir la mixité sociale comme une dispersion de l’indice IPS) au sein des différents établissements.

Enfin, la variance totale est la variance de l’indice IPS dans la population totale des élèves de seconde scolarisés dans un lycée public parisien. Autrement dit, si on note IPSj2022 l’IPS de chaque élève j :

2. Indice de ségrégation sociale

L’indice de ségrégation sociale est défini comme le ratio de la variance interlycée et de la variance totale :

Ainsi, quand l’indice de ségrégation sociale vaut 0, la variance interlycée est nulle. Autrement dit, tous les lycées ont le même IPS moyen. Il n’y a pas de ségrégation.

Quand l’indice de ségrégation sociale vaut 1, la variance interlycée est égale à la variance totale. Pour comprendre ce que cette égalité signifie, il faut utiliser le théorème de décomposition de la variance, qui énonce le résultat suivant :

On en déduit que lorsque l’indice de ségrégation sociale vaut 1, la variance intralycée est nulle : pour chaque lycée i, tous les élèves au sein du lycée i ont le même IPS. La ségrégation est complète.

 

3. Indice de mixité sociale

On définit l’indice de mixité sociale comme le complémentaire de l’indice de ségrégation sociale, c’est-à-dire :

En utilisant de nouveau le théorème de décomposition de la variance totale, on a :

L’indice de mixité sociale est donc le ratio de la variance intralycée par la variance totale.

 

4. Interprétation de l’évolution en pourcentage de l’indice de mixité sociale

En supposant que la variance totale de l’IPS est approximativement stable entre 2019 et 2022, la formule précédente permet d’écrire :

Cela signifie que l’évolution en pourcentage de l’indice de mixité sociale est approximativement égal à l’évolution en pourcentage de la variance intralycée. Cet indice ayant augmenté d’environ 5% entre 2019 et 2022, on en conclut que la réforme a permis une augmentation d’environ 5% de la variance intralycée.

 

ANNEXE C

Afin de montrer que le choix du maillage est essentiel, considérons cet exemple très simple. Un territoire est composé de 4 lycées (A, A’, B et B’). Les lycées A et A’ sont tous les deux favorisés (IPS moyen de 130 pour le lycée A et de 132 pour le lycée A’) tandis que les lycées B et B’ sont tous les deux défavorisés (IPS moyen de 90 pour le lycée B et de 92 pour le lycée B’).

Supposons que, pour définir les indices de ségrégation, on choisisse le maillage qui consiste à rassembler les lycées A et A’ d’un côté, et les lycées B et B’ de l’autre. On obtient ainsi deux indices de ségrégation sociale (celui associé à la maille A+A’ et celui associé à la maille B+B’).

Considérons à présent une réforme qui égalise d’un côté les IPS moyens des lycées A et A’ et de l’autre les IPS moyens des lycées B et B’. On notera qu’une telle réforme n’est pas difficile à réaliser et change peu la réalité des choses : les lycées A et A’ ont en effet un IPS moyen très proche et il en est de même pour les lycées B et B’. Cependant cette réforme permet de réduire à zéro l’indice de ségrégation sociale attaché à la maille « A + A’ ». Autrement dit, elle permet une réduction (en pourcentage) de 100% de l’indice de ségrégation sociale sur cette maille. Et il en est de même pour la maille « B+B’ » : la réduction (en pourcentage) est là aussi de 100%.

On est donc parvenu, par une réforme dont l’impact réel sur la mixité sociale est infime, à réduire en moyenne l’indice de ségrégation sociale de 100%. Pour parvenir à réaliser une pareille illusion d’optique, le choix du maillage a joué un rôle crucial : la même réforme examinée avec un autre maillage et donc d’autres indices de ségrégation sociale (en rassemblant par exemple d’un côté les lycées A et B, et de l’autre, les lycées A’ et B’) auraient conduit à des résultats bien différents.

Nos dernières études
Commentaires (0)
Commentaires (0)
Commenter

Aucun commentaire.