Vers des prix personnalisés à l'heure du numérique ?
La discrimination par les prix pourrait conduire les entreprises à pratiquer des prix personnalisés.Introduction
Le numérique révèle au grand jour les formes les plus usuelles de discrimination par les prix
Le e-commerce n’a pas mis fin à la discrimination par les prix dans l’espace
Le numérique rend plus visible la différenciation des prix dans le temps, même si elle reste complexe à déchiffrer
Le big data pourrait permettre aux entreprises d’évoluer vers des prix personnalisés
Grâce au big data, les entreprises peuvent mieux connaître la disposition à payer de leurs clients et pratiquer des prix personnalisés
Les prix personnalisés présentent aussi des risques pour les entreprises
Les consommateurs doivent-ils s’inquiéter des prix personnalisés ?
Conclusion
Résumé
Le fait de fixer des prix différents pour un même produit est une pratique aussi ancienne que le commerce : nous la rencontrons tous les jours, que ce soit au travers des tarifs jeunes, du prix des billets d’avion qui varie en fonction des dates de réservation ou des prix différenciés selon la localisation de l’enseigne. Ces pratiques de « discrimination par les prix » ont été jusqu’ici acceptées par les consommateurs car elles restaient assez simples à déchiffrer et à justifier : les jeunes paient moins cher certains services car ils sont en moyenne moins riches que les adultes et tout le monde comprend qu’il peut échapper au prix élevé d’un billet d’avion en réservant son voyage à l’avance. La discrimination par les prix porte sur des catégories statistiques assez larges telles que l’âge ou le lieu de résidence.
Toutefois, avec le développement du numérique, la discrimination par les prix pourrait demain franchir un pas décisif en incitant les entreprises à pratiquer des prix personnalisés : grâce au big data, chaque client se verrait proposer un prix particulier, en fonction de sa disposition individuelle à payer. L’ère du prix uniforme, sur lequel s’est fondée toute la grande distribution depuis plus d’un siècle, pourrait progressivement céder la place à un univers de prix « à la tête du client ». Cette pratique de discrimination serait certes très rentable pour les entreprises mais elle risque toutefois de susciter la défiance des clients, ces derniers ne sachant souvent pas quels critères utilisent les algorithmes pour fixer le prix. C’est donc avec une certaine prudence que les entreprises devraient explorer les possibilités de prix personnalisés, au travers de pratiques subtiles et indirectes, telles que les rabais ciblés, l’affichage différencié des résultats d’une requête (price steering) ou la participation des clients à des enchères.
Emmanuel Combe,
Professeur des universités, professeur à la Skema Business School, vice-président de l’Autorité de la concurrence.
La politique de concurrence : un atout pour notre industrie
Le low cost, une révolution économique et démocratique
Pouvoir d’achat : une politique
Les vertus cachées du low cost aérien
Vers la souveraineté numérique
La concurrence au défi du numérique
Économie de la connaissance
La transformation numérique au service de la croissance
Introduction
L’auteur de cette étude remercie Jehanne Richet et Etienne Pfister (Autorité de la concurrence) pour leur aide précieuse. Il reste seul responsable de son contenu qui n’engage pas les institutions pour lesquelles il travaille.
Voir « Profitero Price Intelligence: Amazon makes more than 5 million daily price changes », profitero.com, 10 décembre 2013
Ibid
Voir Le Chen, Alan Mislove et Christo Wilson, « An empirical analysis of algorithmic pricing on Amazon marketplace », in Proceedings of the 25th International Conference on World Wide Web, International World Wide Web Conferences Steering Committee, 2016, 1339-1349
Nous n’évoquons pas dans cette étude la « discrimination du second degré », consistant à différencier le prix en fonction de la quantité achetée (package, ventes liées, tarif binôme avec abonnement).
Nous ne traitons donc pas des pratiques de prix différenciés dans les relations B to B (Business to Business), qui résultent souvent de négociations de gré à gré entre un fournisseur et un acheteur.
On dit en économie que l’entreprise dispose d’un « pouvoir de marché », c’est-à-dire de la capacité d’augmenter durablement ses prix au-dessus de ses coûts.
Nous adoptons une approche centrée sur l’entreprise et son incitation à différencier les prix. L’impact de ces pratiques sur le bien-être global et sur leur possible régulation par le droit de la consommation ou de la concurrence n’est pas développé ici. Voir, notamment, OCDE, « Personalised Pricing in the Digital Era », 28 novembre 2018 .
Toute personne naviguant sur Internet à la recherche d’un billet d’avion ou d’une cafetière Nespresso s’est un jour retrouvée confrontée à la multiplicité des prix affichés sur les sites de vente en ligne, pour un même produit ou un même service. Ainsi, le prix d’un appareil photo n’est pas toujours identique sur le même site de e-commerce, selon que l’internaute se connecte depuis la France ou depuis un autre pays d’Europe. De même, les prix sur Internet peuvent varier très fréquemment dans le temps : durant le mois de décembre 2013, Amazon aurait procédé à 2,5 millions de changements de prix chaque jour1. Au cours de la même période, d’autres sites, tels BestBuy ou Walmart, ont également réalisé plus de 50.000 changements quotidiens de prix2. Cette pratique des prix variables se diffuse même auprès de distributeurs de taille plus modeste : analysant l’historique de produits à succès vendus par 30.000 commerçants sur la marketplace d’Amazon, des chercheurs ont montré que certains d’entre eux recourent à des logiciels de prix algorithmiques3. Plus encore – et même si ce phénomène reste encore peu documenté – deux personnes allant sur le même site de vente en ligne mais présentant des profils différents ne se verront pas toujours proposer le même prix pour un même produit.
Face à cette multiplicité des prix sur Internet, la tentation est grande de renoncer à en comprendre la rationalité sous-jacente. En effet, les prix étant fixés par des algorithmes toujours plus complexes, ils incluent de nombreuses variables, de nature très différente, sans qu’il soit possible pour l’observateur extérieur de les identifier clairement, de manière exhaustive, et d’en connaître le sens exact. Par exemple, un algorithme peut faire varier le prix d’un produit en fonction des prix pratiqués par les concurrents, des prix appliqués dans le passé sur le site, de l’évolution des coûts et des stocks de l’entreprise, d’informations contextuelles (les conditions météorologiques, par exemple, pour un site de vente d’habillement) ou même des caractéristiques et du comportement de l’individu qui navigue sur le site. Les différenciations de prix peuvent alors devenir difficiles à déchiffrer, et ce d’autant plus que les entreprises qui utilisent ou commercialisent les algorithmes de prix n’ont pas l’intention d’en dévoiler les secrets. Ils ont été conçus dans un but bien précis : augmenter les profits en pratiquant la discrimination par les prix.
La « discrimination par les prix » désigne le fait de pratiquer des prix différents pour un même bien ou service, alors même que le coût de production est identique, dans le but de capter de nouveaux clients ou de leur faire payer plus cher. La discrimination par les prix est une stratégie ancienne, qui existe depuis longtemps dans le commerce physique, mais les prix personnalisés sont pratiqués en de rares occasions, par exemple lorsque le client tente de négocier le prix (à la baisse) d’un bien avec le vendeur, à l’image de l’achat d’un bien immobilier ou d’une voiture, ou via des promotions ciblées (cartes de fidélité).
Longtemps restée assez transparente et simple à comprendre, la discrimination par les prix prend désormais des formes plus ou moins sophistiquées : une entreprise peut différencier ses prix selon les catégories d’individus (« discrimination du troisième degré4 »), en proposant par exemple un prix moins élevé pour les jeunes ou les retraités ; elle peut également faire varier le prix selon la localisation géographique du magasin ou de l’internaute (« discrimination spatiale ») ou au cours du temps (« tarification dynamique ») ; elle peut aussi fixer des prix différents selon les caractéristiques individuelles de ses clients ou leur comportement ; dans un cas extrême, elle peut aller jusqu’à proposer un prix personnalisé pour chaque client (« discrimination parfaite » ou « du premier degré »). Quelle qu’en soit la forme, la discrimination par les prix poursuit un objectif : augmenter le profit de l’entreprise. Elle ne se fait toutefois pas toujours au détriment de l’ensemble des consommateurs.
Le but de la présente étude est de prendre la mesure des pratiques de discrimination par les prix dans les relations B to C (Business to Customer)5 à l’heure du numérique et d’en tirer les principales conséquences pour les stratégies de tarification des entreprises.
La première partie de ce travail revient sur deux pratiques anciennes de discrimination par les prix, la discrimination dans l’espace et la discrimination dans le temps, et s’interroge sur leur évolution à l’heure du numérique. La discrimination spatiale consiste à appliquer, pour un même produit, des prix différents selon la localisation du point de vente ou du client, sans que cette différenciation provienne de différences de coûts de transport ou de concurrence. Nous montrons que le numérique, particulièrement grâce aux comparateurs de prix, a révélé au grand jour les pratiques de discrimination par les prix dans l’espace, notamment entre pays, sans pour autant les faire disparaître. Les entreprises peuvent également faire varier le prix d’un bien ou d’un service au cours du temps, en fonction des fluctuations de l’offre et de la demande. Cette pratique, qui existe depuis longtemps dans le transport aérien et l’hôtellerie, connaît un regain d’intérêt à l’heure du numérique en permettant des changements de prix en temps réel. Grâce à Internet, cette « tarification dynamique » a gagné parfois en transparence, notamment lorsqu’est affiché l’ensemble des prix possibles (autour d’une date de réservation). Mais elle conduit également parfois à rendre illisibles les mouvements de prix pour le client qui ne dispose pas d’une grille de lecture claire : ainsi, lorsque Amazon modifie plusieurs fois par jour le prix d’un même produit, le client ne peut que constater cette volatilité du prix, sans en comprendre les motivations sous-jacentes.
La seconde partie de cette étude porte sur les pratiques récentes de prix personnalisés, encore peu usitées dans le commerce de détail (à l’exception des cartes de fidélité) : à l’heure du numérique et du big data, les prix personnalisés deviennent possibles dans de nombreux secteurs d’activité. En effet, la collecte de données de plus en plus volumineuses et variées concernant les individus permet aux entreprises d’approcher plus finement leur « disposition maximale à payer », c’est-à-dire le prix maximum qu’ils sont prêts à payer pour acquérir tel ou tel bien ou service. Une fois cette disposition à payer connue, l’entreprise peut être tentée de pratiquer, pour chaque client, un prix différencié pour un même bien ou service. Cette pratique suppose, bien entendu, que les produits de l’entreprise soient suffisamment différenciés afin que les clients ne se reportent pas sur les produits substituables de concurrents6.
Si les prix personnalisés venaient à se développer, ils remettraient en cause un principe essentiel sur lequel est fondé l’ensemble de la distribution de détail depuis plus d’un siècle : l’existence d’un référentiel de prix (qui peut être, par exemple, un prix observé en moyenne ou un prix maximum conseillé) sur la base duquel les clients se positionnent et font leurs choix. En poussant à l’extrême la logique des prix personnalisés, on pourrait aboutir à la disparition même de la notion de prix de référence : pour un même produit (bien ou service), il y aurait autant de prix que de clients. Le risque est alors celui d’une défiance des clients à l’encontre des entreprises qui se livreront à ce type de pratiques. Notre note s’interroge sur l’opportunité et les risques pour une entreprise de se lancer dans une telle stratégie de personnalisation des prix7.
Le numérique révèle au grand jour les formes les plus usuelles de discrimination par les prix
Le e-commerce n’a pas mis fin à la discrimination par les prix dans l’espace
La zone de chalandise d’un commerce est sa zone géographique d’influence, d’où provient la majorité de la clientèle.
Voir Jennifer Valentino-DeVries, Jeremy Singer-Vine et Ashkan Soltani, « Websites Vary Prices, Deals Based on User’ Information », wsj.com, 24 décembre 2012.
En termes économiques, on dit qu’ils sont moins « élastiques au prix ».
Voir Alberto Cavallo, « More Amazon Effects: Online Competition and Pricing Behaviors », National Bureau of Economic Research, Working Papers n° 25138, octobre 2018.
Les entreprises appliquent parfois des prix différenciés selon la localisation de leurs clients ou de leurs points de vente, pour un même bien ou un même service. Ces différences de prix s’expliquent par de multiples facteurs, notamment par l’intensité variable de la concurrence locale : une moindre concurrence dans une zone de chalandise8 conduira, toutes choses égales par ailleurs, à des prix plus élevés. Ainsi une étude a montré que plusieurs enseignes de distribution comme Staples ou Home Depot pratiquaient des prix différenciés sur leur site Internet selon la localisation du client, à l’intérieur même du territoire américain9. En particulier, lorsque l’internaute est localisé à proximité d’un magasin physique d’un concurrent de Staples, ce dernier lui propose un bon de réduction en ligne. De même, les écarts de prix entre deux localisations peuvent provenir de différences de coûts de transport : un produit vendu dans une région isolée, loin des lieux de stockage, pourra être vendu plus cher, compte tenu de la distance géographique.
Une politique de prix différenciés dans l’espace peut également résulter d’une stratégie de discrimination spatiale, consistant à tirer parti des différences entre les consommateurs selon leur localisation. Par exemple, le prix d’un café en terrasse sera en général plus élevé dans une zone touristique que dans une zone qui ne l’est pas, compte tenu du fait que les clients sont moins sensibles au prix ou que la demande est plus forte. De même, dans un pays où les consommateurs manifestent une forte préférence pour un produit, son prix sera plus élevé, toutes choses égales par ailleurs. En matière automobile, les consommateurs affichent souvent une préférence pour les voitures de marque « nationale »10 : les Français achètent surtout des voitures françaises, Renault et PSA représentant 60% des immatriculations de voitures neuves en France en 2018, alors même que leur part de marché se situe à 26% au niveau européen. La tentation est alors grande pour les producteurs automobiles français de pratiquer un prix plus élevé sur le marché domestique par rapport aux marchés d’exportation.
Pour être effective, cette politique de prix différenciés dans l’espace suppose toutefois que les clients n’usent pas de leur capacité d’arbitrage : il ne faut pas qu’ils soient tentés d’aller acheter là où le prix est plus faible. Avant l’avènement d’Internet, l’arbitrage était limité par l’existence de coûts de transaction élevés : pour acheter une voiture dans un autre pays d’Europe, il était ainsi nécessaire que le client se déplace physiquement. À présent, il existe sur Internet de nombreux mandataires, qui effectuent pour le compte du client ce travail d’arbitrage. De plus, avant Internet, l’information sur les différents prix d’un même produit était difficilement accessible, faute de comparateurs de prix. Les comportements d’arbitrage concernaient donc une minorité de clients informés (ou habitant dans une zone frontalière) et portaient sur quelques produits très onéreux comme les voitures. De plus, les entreprises n’ont parfois pas hésité à dissuader leurs propres distributeurs d’approvisionner des clients venus de l’étranger. Ces pratiques de restriction des « ventes passives » ont été depuis longtemps sanctionnées par les autorités de concurrence. Ainsi, Peugeot s’est vu infliger une amende de 49 millions d’euros en 2005 par la Commission européenne pour avoir empêché des clients français d’acheter des modèles haut de gamme de sa marque aux Pays-Bas, où ces véhicules étaient vendus moins cher qu’en France.
Avec le développement du commerce en ligne, on pourrait penser que les stratégies de différenciation des prix dans l’espace sont vouées à disparaître, en particulier à l’intérieur de la zone euro. Grâce aux comparateurs de prix sur Internet, il devient désormais possible de connaître quasiment instantanément le prix d’un produit dans un autre pays, surtout lorsqu’il fait partie de la même zone monétaire. Il est également désormais possible d’acheter directement, en un clic, sur un site Internet étranger, sans qu’il soit nécessaire de se déplacer physiquement. Qui plus est, la possibilité même de pratiquer des prix différenciés selon les pays est mise en cause par l’« effet Amazon » : de peur de voir leurs clients partir chez le géant du e-commerce, les distributeurs (physiques comme virtuels) sont contraints d’aligner leurs prix sur ceux d’Amazon. On aboutit alors à une uniformisation des prix (vers le bas) dans l’espace. Ce phénomène a été observé dans le cas des États-Unis : les produits vendus sur Amazon sont, dans 97% des cas, vendus au même prix par l’enseigne de grande distribution Walmart, quelle que soit la localisation géographique du magasin11.
Pourtant, dans les faits, on s’aperçoit que si le numérique a réduit les distances physiques, il ne les a pas abolies : les frontières géographiques comptent toujours pour le commerce. On constate ainsi que, au sein de l’Union européenne, seulement 18% des clients qui achètent en ligne le font sur un site étranger.
Part d’achats effectués en ligne sur des sites internet d’un autre pays de l’UE en 2016 (en %)
Source : Commission européenne, 2017.
Voir Jakub Mikians, László Gyarmati, Vijay Erramilli et Nikolaos Laoutaris, « Detecting price and search discrimination on the Internet », Proceedings of the 11th ACM Workshop on Hot Topics in Networks, HotNets-XI, octobre 2012, p. 79-84.
En 2012, des chercheurs ont montré qu’à l’intérieur même des États-Unis il existe des écarts de prix significatifs pour un même produit selon la localisation géographique de l’internaute : pour des produits tels que les jeux vidéo en version numérique, ces écarts peuvent atteindre 166% pour un même produit, alors même qu’il n’existe pas de différences de coûts de transport, puisque les jeux sont téléchargés en ligne12. Il est donc possible, même à l’heure du e-commerce, de continuer à pratiquer des prix différenciés selon les localisations sans risquer que tous les clients procèdent à des arbitrages dans l’espace.
Voir Ali Hortaçsu, F. Asís Martínez-Jerez et Jason Douglas, « The Geography of Trade in Online Transactions. Evidence from eBay and MercadoLibre », American Economic Journal, vol. 1, n° 1, février 2009, p. 53-74.
Par conséquent, comment expliquer que les clients ne se livrent pas systématiquement à des comportements d’arbitrage dans l’espace, alors même que le numérique le permet techniquement ? Tout d’abord, si de nombreux clients achètent désormais en ligne, certains hésitent encore à acheter loin de chez eux. Des études ont révélé que la distance géographique joue aussi un rôle dans les transactions sur eBay à l’intérieur d’un même pays (en l’occurrence les États-Unis), même si cette influence est moindre que dans le commerce physique : lorsque la distance entre un vendeur sur eBay et son client augmente, le volume des ventes diminue mécaniquement13. Le client peut craindre de ne pas être livré à temps, de ne pouvoir faire valoir ses droits en cas de problème ou de recevoir un produit endommagé. De plus, un client hésitera à acheter sur un site étranger qui n’est pas traduit en anglais ou dans sa propre langue. Enfin, les sites de vente en ligne restent souvent peu connus en dehors de leur propre marché domestique et ne bénéficient donc pas d’un capital de confiance et de réputation suffisant pour inciter des clients étrangers à acheter. À l’exception d’Amazon, les leaders du e-commerce généraliste ne sont pas les mêmes d’un pays d’Europe à l’autre. À titre d’exemple, les sites fnac.com ou cdiscount.com figurent parmi les plus visités en France, alors que leur fréquentation reste limitée en Allemagne (où dominent des acteurs comme Otto ou Zalando).
Au-delà des réticences naturelles des clients, le faible développement des ventes en ligne sur un site étranger provient aussi du fait que producteurs et distributeurs limitent parfois les possibilités d’achat sur ces sites. Ceci est particulièrement vrai en Europe : une enquête publiée par la Commission européenne en 2016 a mis en évidence que seulement 37% des sites de vente permettaient à un client européen étranger de finaliser son achat en ligne. Ce résultat s’explique par la présence de différents obstacles à chaque étape du processus d’achat en ligne. En effet, certains sites refusent de livrer dans certains pays d’Europe (51% des cas) ou refusent le paiement par carte de crédit compte tenu de la domiciliation de son détenteur (63%). Ces refus de vente conduisent parfois à rediriger automatiquement le client vers le site de son pays de résidence, pratique connue sous le nom de rerouting.
Obstacles à l’achat en ligne sur des sites internet d’un autre pays de l’Union européenne (en %)
Source : Commission européenne, « Geoblocking study in the EU », mai 2017.
Ces stratégies de blocage géographique font aujourd’hui l’objet d’une attention particulière de la Commission européenne puisqu’elles vont en effet à l’encontre de l’objectif d’intégration des marchés, qui est au fondement même de l’union économique. Rappelons en effet que le principe de libre circulation des biens et des services dans l’espace économique européen implique qu’une entreprise ne peut ériger de barrières artificielles aux échanges entre pays ; en particulier, elle ne peut limiter ou interdire les pratiques de « ventes passives », consistant pour le client d’un pays A à aller s’approvisionner dans un pays B.
En décembre 2018, la Commission européenne a ainsi infligé la première sanction à l’encontre d’une entreprise ayant pratiqué le blocage géographique sur Internet. La société Guess, qui conçoit et distribue des vêtements et accessoires de mode, a été condamnée à une amende de 40 millions d’euros (avec une réduction de 50% tenant compte de sa coopération) pour avoir empêché ses détaillants agréés de vendre à des clients situés en dehors des territoires qui leur étaient alloués. Selon la Commission européenne, ces accords ont permis à Guess de cloisonner les marchés européens, notamment en privant les clients de pays d’Europe centrale et orientale de bénéficier des prix plus attractifs existant dans les pays d’Europe occidentale.
Par ailleurs, le règlement 2018/302 du Parlement européen et du Conseil du 28 février 2018, entré en vigueur en décembre 2018, vise à lutter contre les pratiques excessives de geoblocking en Europe : il est interdit d’empêcher un consommateur européen d’acheter sur un site localisé dans un autre pays que son pays de résidence.
Face à cette nouvelle réglementation, comment les entreprises vont-elles réagir ? La réponse n’est pas aussi évidente qu’il y paraît et plusieurs options s’ouvrent à elles :
– une première option est de continuer à pratiquer des prix différenciés selon les pays, en misant sur le fait que les comportements d’arbitrage seront naturellement limités par les craintes « naturelles » des consommateurs d’acheter à l’étranger ;
– une deuxième option consiste à ne proposer de livrer les achats en ligne que dans certains pays ou à surfacturer les frais de livraison : en effet, le règlement 2018/302 n’impose pas à un vendeur en ligne de procéder à la livraison du produit dans toute l’Europe. S’il ne le propose pas, le client doit assurer lui-même la livraison ou venir chercher le produit dans le pays où le magasin en ligne exerce son activité ;
– une troisième option est d’harmoniser les prix entre les pays afin de rendre caduques les tentatives d’arbitrage. Cette uniformisation des prix peut conduire, par exemple, à augmenter les prix dans les pays où ils étaient fixés à un niveau plus bas. Cette situation serait défavorable à certains consommateurs qui verront le prix augmenter, ce qui conduira certains d’entre eux à renoncer à consommer.
Le numérique rend plus visible la différenciation des prix dans le temps, même si elle reste complexe à déchiffrer
Une autre forme usuelle de différenciation des prix, dénommée « tarification dynamique », consiste à faire varier le prix d’un bien ou d’un service dans le temps, en fonction de paramètres tels que l’offre et la demande ou la date de réservation. Cette forme de discrimination est pratiquée depuis longtemps dans la vente de produits périssables alimentaires : baisse du prix à la fin d’un marché, par exemple, ou lorsque la date de péremption du produit approche.
La « tarification dynamique » se retrouve également de manière plus systématique dans des secteurs tels que la réservation hôtelière ou de billets d’avion. Ainsi, dans le transport aérien, la technique du revenue management ou yield management consiste, sur un même vol et pour une même classe de voyage, à faire évoluer le prix des billets de telle sorte que l’avion soit plein le jour du décollage tout en obtenant la recette totale la plus élevée possible. Le prix à un instant t dépend notamment de la date de réservation par rapport à la date de départ : plus le client réserve tôt, plus il a de chances d’obtenir un prix attractif, même si cette règle n’a rien de mécanique. Le prix atteint son maximum la veille du départ : en effet, si un individu réserve à J – 1, c’est qu’il n’a pu anticiper son voyage. Il s’agit donc plutôt d’un individu voyageant pour un motif professionnel ou qui doit faire face à une contrainte forte. Celui-ci va donc payer un prix élevé.
Une étude de 2009 a ainsi montré que le prix d’un billet sur la compagnie Ryanair, pour un même vol, augmentait de manière quasi continue au cours du temps. L’amplitude de la hausse de prix est forte : le prix d’un billet peut atteindre 180 euros le jour du départ, soit six fois le prix observé trois mois auparavant (30 euros).
Évolution du prix d’un billet Ryanair en fonction de la date de réservation et de l’heure(en euros)
Source : Paolo Malighetti, Stefano Paleari et Renato Redondi, « Pricing strategies of low-cost airlines: The Ryanair case study », Journal of Air Transport Management, vol. 15, n° 4, juillet 2009.
Au-delà de l’aérien, les pratiques de tarification dynamique se développent aujourd’hui dans des industries caractérisées par des contraintes de capacité et de fortes fluctuations de la demande, à l’image des véhicules de transport avec chauffeur (VTC). Ainsi, une entreprise comme Uber fait varier le prix de la course au départ d’une localisation donnée en fonction de l’offre et de la demande à un instant t, avec un système de tarification des heures de pointe (surge pricing). À titre d’exemple, le 21 mars 2015, lorsque le concert de la chanteuse Ariana Grande à Madison Square s’est terminé à 22h30, la demande de courses a soudainement augmenté, conduisant à une très forte hausse du prix, pouvant atteindre jusqu’à 400%. Cette hausse de la demande a par la suite entraîné une augmentation de l’offre, un nombre accru de chauffeurs rentrant alors sur le marché pour satisfaire la demande, conduisant à une baisse du prix pour le consommateur.
Variation du prix d’une course Uber prise à Madison Square au cours d’une soirée de concert le 21 mars 2015 (en %)
Source : Jonathan Hall, Cory Kendrick et Chris Nosko, « The effects of Uber’s surge pricing: a case study », valuewalk.com, 21 septembre 2015.
www.valuewalk.com/2015/09/uber-surge-pricing/
On voit également se développer des pratiques de prix évolutifs dans la distribution en ligne. Ainsi, une entreprise comme Amazon pratique des changements de prix, avec de fortes variations lors de journées particulières comme la Saint-Valentin ou les périodes de fêtes. Selon une étude de 2016, l’algorithme de prix d’amazon.de peut changer plus d’un million de prix durant la seule journée de la Saint-Valentin, avec des fluctuations pouvant atteindre 240% pour un même produit. À titre d’exemple, le même appareil photo Nikon D610 SLR a vu son prix osciller entre 700 et 1 687 euros en l’espace d’une journée. Au-delà de ces ajustements à très court terme, on observe également une tendance à la fluctuation des prix sur une plus longue période : en effet, une même machine à café Nespresso vendue sur Amazon voit son prix fluctuer entre 100 et 145 euros au cours de la période 2011-2016, sans que l’on puisse comprendre les facteurs qui en sont à l’origine.
Variation du prix pour la même machine à café Krups XN 2006 Nespresso Pixie Electric Red sur le site Amazon
Source : Andreas Krämer et Regine Kalka, « How digital disruption changes pricing strategies and price models », in Anshuman Khare, Brian Stewart et Rod Schatz (dir.), Phantom Ex Machina. Digital Disruption’s Role in Business Model Transformation, Springer, 2017, p. 87-103.
Competition and Markets Authority (CMA), « Pricing algorithms. Economic working paper on the use of algorithms to facilitate collusion and personalised pricing », 8 octobre 2018.
Ces pratiques de prix fluctuants dans le temps, qui s’observent principalement sur Internet, pourraient également se développer demain dans les commerces physiques grâce à la diffusion des technologies numériques en magasin. Selon une étude britannique de la Competition and Markets Authority de 2018, les grandes chaînes de distribution alimentaire, qui sont également présentes aujourd’hui online, se lancent dans la tarification dynamique14. Pendant longtemps, il était coûteux et compliqué pour elles de procéder, dans leurs magasins physiques, à des changements fréquents d’étiquette, qui auraient nécessité un ajustement manuel sur plusieurs milliers de produits. Cette pratique ne concernait en général que le rayon des produits frais (viande, poisson, fruits et légumes), dont les prix étaient souvent modifiés quotidiennement, en fonction des coûts d’approvisionnement sur les marchés de gros. La différenciation des prix en magasin physique était donc assez limitée et se faisait pour l’essentiel par le biais de promotions, parfois ciblées (par coupons de réduction) sur les cartes de fidélité des clients. On peut même considérer que les distributeurs alimentaires ont bâti leur réputation sur la stabilité des prix : si le client compose le même panier de biens d’une semaine à l’autre, il dépensera à peu près la même somme (à l’exception des produits frais). Ceci constitue la promesse implicite de ces distributeurs. Cette promesse de stabilité est une manière de fidéliser le client et de le dissuader de comparer les prix entre les enseignes.
On voit toutefois apparaître depuis peu, à la faveur des étiquettes électroniques, des expériences de prix dynamiques dans la grande distribution physique : des distributeurs comme Tesco ou Marks & Spencer au Royaume-Uni testent des stratégies de prix évolutifs, en fonction de la demande ou du niveau des stocks, même si ces pratiques restent, à ce stade, anecdotiques.
Son acceptabilité par les clients mériterait d’être analysée, lorsqu’elle est causée par des événements imprévus comme les grèves. Ainsi, en 2017, une grève du métro londonien a conduit Uber à augmenter les prix de 400%.
Quelle appréciation porter sur ces pratiques de discrimination par les prix au cours du temps et en quoi l’essor du numérique change-t-il la donne ? Grâce au numérique, les clients savent désormais que les prix peuvent fluctuer, parfois même de manière très importante. Ils peuvent en effet s’en rendre compte eux-mêmes en se connectant plusieurs fois par jour sur un site de vente en ligne, de réservation de billets ou de comparateurs de prix. Dans le cas de l’aérien, les clients connaissent même la distribution des prix autour de leur date préférée de départ : en effet, lorsqu’il cherche un vol à une date précise, l’internaute se voit souvent proposer un calendrier avec différentes dates et une multitude de prix selon le jour sélectionné. Dans le cas d’Uber, la règle du surge pricing conduit également à afficher sur l’écran de l’internaute le multiple du prix, en fonction d’un prix de référence15. Cette lisibilité dans l’affichage des prix permet au consommateur patient d’effectuer un choix plus éclairé, notamment s’il utilise une alerte de prix, pour acheter « au bon moment ».
Pour autant, si les clients peuvent désormais visualiser la volatilité des prix, ils ne connaissent pas toujours les règles qui gouvernent son évolution. Dans le cas d’Uber, la règle reste assez simple à comprendre et à anticiper : l’évolution du prix est dictée par le jeu de l’offre et de la demande dans une localisation donnée. Les clients peuvent l’anticiper, les périodes de pointe étant récurrentes et prévisibles, sauf en cas d’imprévu (grève, accident, etc.). Dans l’aérien, la situation est plus complexe à déchiffrer : si le prix du billet évolue bien en fonction de la date de réservation, de multiples facteurs entrent également en ligne de compte, tels que la saison durant laquelle le vol a lieu, la durée du séjour, le jour et l’heure de départ, le niveau de la demande, un événement prévu dans le lieu de destination, l’intensité de la concurrence sur la ligne, etc. La compréhension du prix à un instant t reste donc un exercice difficile pour l’internaute, même à l’heure du numérique. De plus, la tarification dynamique sur Internet permet aux compagnies aériennes de modifier en temps réel leurs prix, dont l’évolution ne suit pas toujours une fonction monotone : si le prix augmente tendanciellement au cours du temps, il peut aussi stagner de manière ponctuelle, voire diminuer fortement.
Mais c’est sans doute sur les sites de commerce en ligne – notamment sur Amazon – que la volatilité des prix reste difficile à déchiffrer et à anticiper : elle n’obéit à aucune règle simple et claire, personne ne sait exactement quels sont les critères (et leur poids respectif) utilisés par un algorithme de prix. Tout au plus peut-on faire l’hypothèse que les prix varient en fonction de facteurs comme l’offre et la demande, le niveau des stocks, les prix des concurrents ou des facteurs externes (météo, événements festifs…). La question qui est posée est celle de leur impact.
Voir Marc Möller et Makoto Watanabe, « Advance Purchase Discounts Versus Clearance Sale », The Economic Journal, vol. 120, n° 547, septembre 2010, p. 1125-1148.
Voir Oren Etzioni, Craig A. Knoblock, Rattapoom Tuchinda et Alexander Yates, « To buy or not to buy: mining airfare data to minimize ticket purchase price », in Proceedings of the Ninth ACM SIGKDD International Conference on Knowledge Discovery and Data Mining, ACM, 2003, p. 119-128.
S’il est difficile pour l’internaute de comprendre les raisons de la volatilité des prix, il peut toutefois tenter d’en tirer parti, en développant des stratégies d’optimisation des décisions d’achat, notamment grâce aux outils d’alerte de prix. Ainsi l’application camelcamelcamel surveille l’évolution des prix sur le site Amazon et prévient le client d’une baisse éventuelle. De nombreux sites fournissent également des conseils sur les « bonnes » dates de départ ou de retour pour payer un billet moins cher. Une étude de 2010 conclut par exemple qu’il vaut mieux réserver un billet l’après-midi que le matin, les hommes et femmes d’affaires ayant l’habitude de réserver leurs billets en matinée16. Un exercice intéressant consiste alors à identifier les moments privilégiés pour réserver un billet moins cher. Avec l’essor de l’intelligence artificielle et des techniques d’« extraction de connaissance à partir de données » (data mining), certains chercheurs ont même utilisé des algorithmes pour optimiser l’achat de billets d’avion. En 2003, des chercheurs ont montré que l’usage de leur algorithme Hamlet, appliqué sur un échantillon de 4 488 passagers, permettait aux clients d’économiser en moyenne 4,4% sur le prix d’un billet17.
Le big data pourrait permettre aux entreprises d’évoluer vers des prix personnalisés
Voir Frédéric Marty, « Plateformes numériques, algorithmes et discrimination », Revue de l’OFCE, 2019.
Nous avons jusqu’ici étudié deux formes assez anciennes et répandues de discrimination par les prix, celles consistant à faire varier les prix au cours du temps et dans l’espace. Une autre forme de discrimination, moins répandue, consiste à pratiquer des prix différenciés selon les clients, en fonction de leurs caractéristiques personnelles et de leur comportement18.
La discrimination en fonction du profil des individus n’a rien de nouveau mais elle a longtemps pris une forme assez « fruste », consistant à classer les individus en grandes catégories, principalement selon l’âge et la situation professionnelle. Des prix préférentiels sont ainsi proposés aux jeunes, aux personnes âgées ou aux personnes à faibles revenus (RSA, chômeurs…), notamment concernant l’accès aux biens culturels ou aux transports en commun. Cette discrimination, qualifiée en économie de « discrimination du troisième degré », est fondée sur des variables assez simples, en général clairement affichées (« tarif jeune », « tarif senior »…), et se justifie assez bien d’un point de vue normatif. Grâce à ce type de discrimination par les prix, les personnes qui disposent de faibles revenus peuvent accéder au marché.
Une forme plus subtile et moins transparente de discrimination par les prix consiste à aller au-delà d’un classement des individus par grandes catégories, pour proposer des prix personnalisés, c’est-à-dire différenciés, selon les caractéristiques propres d’un client et de son comportement. Jusqu’à présent, cette forme de discrimination est restée peu répandue dans le monde économique et, pour l’essentiel, concernait des pratiques de négociation de prix à la baisse, le plus souvent à l’initiative du client et sur la base d’un prix de référence. Ainsi, dans des secteurs comme l’immobilier ou la vente d’automobiles, il est usuel que le client tente de négocier un rabais dont le montant va dépendre de son pouvoir de négociation.
Grâce au big data, les entreprises peuvent mieux connaître la disposition à payer de leurs clients et pratiquer des prix personnalisés
Les entreprises n’ont pas attendu l’avènement du numérique pour disposer d’informations individuelles sur le comportement et les préférences de leurs clients, en particulier dans le secteur du commerce de détail et des services à la personne. En effet, les grandes chaînes de distribution physique (alimentaires ou culturelles) et les compagnies aériennes ont accès depuis longtemps, via leurs programmes de fidélité, leurs cartes de paiement ou d’abonnement, à de précieuses informations sur leurs clients. De même, les banques de détail ou les opérateurs téléphoniques disposent de données précises et récurrentes, que ce soit sur les revenus et les comportements d’achat des clients ou sur leur localisation géographique. Ces informations, pour utiles qu’elles soient, présentent toutefois deux limites :
– elles portent sur des caractéristiques partielles des individus, comme leur localisation ou leur historique d’achat. Le « portrait-robot » du client comprend peu d’éléments contextuels sur l’environnement dans lequel il évolue (loisirs, centres d’intérêt…) et qui vont pourtant influencer son comportement de consommation ;
– elles concernent pour l’essentiel le comportement d’achat ou de consommation passé : une chaîne de distribution alimentaire a ainsi peu d’informations sur ce que son client pourrait acheter ou sur ce qu’il a envisagé d’acheter sans pour autant finaliser la transaction en magasin. La prédiction des comportements est donc basée d’abord sur cette approche historique.
On notera d’ailleurs que les entreprises disposant de ces bases de données en ont fait jusqu’ici un usage relativement limité, consistant pour l’essentiel à proposer des coupons ciblés de réduction, en fonction des volumes ou de l’historique des achats. Le développement du big data depuis les années 2000 change la donne. D’abord, le big data se traduit par une hausse considérable du volume et de la qualité des données, qui peuvent être de nature très variée. Lorsqu’un internaute navigue sur Internet, il laisse de nombreuses traces qui vont permettre aux entreprises, de manière directe ou indirecte (par l’achat de bases de données tierces), de mieux connaître son comportement et ses préférences. Les traces peuvent être volontaires, par exemple lorsque le client évolue dans un univers « logué » comme Facebook, LinkedIn ou Twitter, lorsqu’il ne navigue pas en mode « privé » ou lorsqu’il décide de liker un contenu.
Voir à ce sujet Andreas Krämer, Mark Friesen et Tom Shelton, « Are airline passengers ready for personalized dynamic pricing? A study of German consumers », Journal of Revenue and Pricing Management, vol. 17, n°2, avril 2018, p. 115-120.
Dans le cas particulier de Facebook, il transmet non seulement des données déclaratives sur sa situation objective (sexe, âge, lieu de résidence, etc.), mais également sur ses préférences, en fonction par exemple des sujets qu’il aime aborder dans ses conversations. Il est également possible de connaître l’ensemble des contacts des personnes connectées et leur localisation géographique. Lorsque le client navigue sur Internet sans pour autant se « loguer » à un site, il transmet également au moteur de recherche (principalement Google) et/ou aux sites visités, de manière involontaire, de multiples données, via notamment les cookies, sur son comportement de navigation : historique des sites visités, temps passé sur chaque site, produits regardés ou achetés, etc.19 La richesse du big data réside non seulement dans l’accumulation de données mais, surtout, dans leur croisement, qui permet de dresser un « portrait-robot » assez précis d’un client.
Exemples de traces laissées lors de la navigation sur Internet
Fondation pour l’innovation politique – octobre 2019.
Prenons l’exemple d’une compagnie aérienne qui vend ses billets directement sur son site Internet. Des données assez simples mais pertinentes peuvent être recueillies lorsque l’internaute navigue sur son site :
– l’historique de navigation : une destination qui est souvent recherchée ou achetée indique que la personne a une préférence marquée pour celle-ci ;
– le temps de connexion : plus le temps de connexion sur une destination de voyage est long, plus cela révèle l’intérêt de l’individu pour cette destination ;
– la multiplicité des destinations sélectionnées : un internaute qui sélectionne des destinations très différentes a de fortes chances de voyager pour un motif touristique. Il sera donc plus sensible au prix.
Au-delà du comportement de connexion sur le site, les compagnies aériennes peuvent aussi croiser les informations sur le client avec son profil Facebook pour mieux connaître ses préférences, ses habitudes, ses centres d’intérêt, notamment en termes de destinations ou de lieux de résidence. Par exemple, la connaissance de la localisation de sa famille et de son réseau d’amis fournit de précieuses informations sur les motifs de ses réservations : il est probable que la disposition à payer d’un client de type VFR (Visiting Friends and Relatives) sera plus élevée que celle d’un simple touriste, qui arbitre entre différentes destinations.
De la même manière, dans le secteur de l’assurance automobile, l’usage du big data permet de mieux apprécier le profil de risque d’un client, par exemple en analysant l’usage qu’il fait de son véhicule, que ce soit en termes de fréquence d’utilisation ou de localisation (routes les plus empruntées, trajets réguliers…). Les assureurs pourraient alors développer des polices d’assurance qui soient davantage fonction de l’usage (usage based insurance) plutôt que des seules caractéristiques des individus (âge, par exemple) ou de leur historique de comportement.
De plus, les producteurs ont pu « reprendre la main » sur leurs clients et accumuler directement des données sur eux, sans passer par le biais d’un intermédiaire ou d’un distributeur. Le cas le plus exemplaire est celui des compagnies aériennes qui disposent toutes aujourd’hui de leur site de réservation en propre, avec un univers « logué » et qui sont donc moins dépendantes des systèmes de réservation ou des agences de voyages. Elles disposent d’informations plus variées et plus riches que celles contenues sur leurs seules cartes de fidélité, surtout si le client se connecte en utilisant un compte Facebook. Ryanair voit ainsi passer chaque année sur son site plus de 180 millions de visiteurs uniques ; la quasi-totalité des clients qui réservent un billet chez Ryanair le font directement sur le site de la compagnie, ce qui lui permet d’avoir un accès à leur profil personnel, sans intermédiation. De même, dans l’industrie, l’essor des ventes directes, sans passer par le canal d’un distributeur, permet aux producteurs de collecter de précieuses données sur les clients.
Enfin, sur le marché, les entreprises peuvent se procurer des bases de données de clients. Depuis les années 2000, on a vu se développer un marché de la data et de son analyse (Big Data and Business Analytics, BDA), avec des acteurs spécialisés comme Acxiom, Bleukai/Oracle ou Teradata. Selon le cabinet IDC 20, le marché de la data et de son analyse représenterait 160 milliards de dollars en 2018 et devrait progresser à un rythme soutenu, de l’ordre de 12% par an au cours de la période 2017-2022, pour atteindre plus de 270 milliards de dollars. Cette croissance est portée pour l’essentiel par des secteurs comme la banque et les services professionnels, et plus de la moitié du marché est aujourd’hui située aux États-Unis (88 milliards de dollars), loin devant l’Europe (35 milliards).
Voir Autorité de la concurrence, « Avis n° 18-A-03 du 6 mars 2018 portant sur l’exploitation des données dans le secteur de la publicité sur internet ».
De quelle manière les entreprises peuvent-elles utiliser ces données individuelles ? Dans un premier temps, elles s’en sont servies pour mener des campagnes publicitaires en ligne, ciblant des catégories précises d’individus, en fonction de leur profil et de leur comportement. En particulier, le reciblage publicitaire (retargeting) vise à solliciter à nouveau, au travers d’une bannière publicitaire, un internaute qui a fait preuve d’un intérêt particulier pour un produit sur tel ou tel site. La publicité en ligne, en mode search (qui apparaît à partir de mots-clés entrés, par exemple, dans des moteurs de recherche) ou display (qui apparaît sous forme d’encarts sur les pages Internet visitées), connaît depuis dix ans un essor marqué, au point de constituer aujourd’hui le premier vecteur de dépenses publicitaires, devant la télévision et la presse papier21.
Du big data à la publicité personnalisée
Fondation pour l’innovation politique – octobre 2019
Voir Ariel Ezrachi et Maurice E. Stucke, « The rise of behavioural discrimination », European Competition Law Review, vol. 37, n° 12, 2016, p. 485-492.
Voir Nir Vulkan et Yotam Shem-Tov, « A note on fairness and personalised pricing », Economic Letters, vol. 136, novembre 2015, p. 179-183.
Une seconde étape, consistant à pratiquer des prix personnalisés, pourrait être franchie dans un proche avenir. À partir de l’analyse des données d’un individu et de leur croisement, l’entreprise pourrait estimer sa disposition maximale à payer et lui proposer un prix particulier, qui soit fonction de ce prix de réserve22. Dans un cas extrême, l’entreprise pourrait même fixer un prix égal à la disposition maximale à payer. En pratique, toutefois, il est peu probable qu’elle le fasse : si le big data permet de mieux connaître la disposition à payer de l’individu, cette dernière reste toujours une estimation, entachée d’incertitude. Le risque est de fixer un prix supérieur à la disposition à payer de l’individu, qui renoncera à acheter. À cet égard, une expérience en laboratoire sur les prix personnalisés a montré que les participants fixaient en moyenne un prix égal à 64% de la disposition maximale à payer des clients23.
Explicitons ce mécanisme des prix personnalisés au travers d’un exemple numérique simple, emprunté à l’OCDE.
Dix clients, numérotés de 1 à 10, affichent différentes dispositions maximales à payer. La disposition à payer du client 1 est très forte, tandis que celle du client 10 est très faible. L’entreprise produit avec un coût de production, ou coût marginal, constant. Si l’entreprise décide d’appliquer un prix de vente uniforme, elle le fixe à un niveau supérieur à son coût de production (la ligne rouge sur le graphique). À ce prix, seuls les clients 1 à 6 achètent le bien, dans la mesure où leur disposition maximale à payer est supérieure au prix. Les clients 7 à 10 n’achètent pas le bien. L’entreprise peut également pratiquer des prix personnalisés (en jaune sur le graphique), qui soient en relation avec la disposition maximale à payer de chaque client (sans aller jusqu’à fixer un prix égal à la disposition maximale). Le client 1 paiera plus cher qu’auparavant, tout comme les clients 2 à 5. Pour le client 6, le prix personnalisé est identique au prix uniforme. Les clients 7, 8 et 9 achètent désormais le bien, dans la mesure où l’entreprise leur applique un prix plus faible que le prix uniforme. Seul le client 10 ne se voit proposer aucune offre, compte tenu du fait que sa disposition à payer estimée est inférieure au coût de production.
Un exemple de prix personnalisés
Source : OCDE, « Personalised Pricing in the Digital Era », 28 novembre 2018, p. 10.
www.one.oecd.org/document/DAF/COMP(2018)13/en/pdf
Cette politique de prix « à la tête du client » est d’autant plus efficace que les clients n’ont pas connaissance du prix payé par les autres clients, sauf à échanger entre eux sur les réseaux sociaux. Dans le cas de contenus digitaux, l’arbitrage est techniquement compliqué puisque le client doit au préalable s’identifier avant de pouvoir « consommer ». De même, en matière de services à la personne comme les prêts immobiliers ou les contrats d’assurance, les comportements d’arbitrage sont impossibles, compte tenu du fait que les contrats sont nominatifs et ne peuvent donc être transférés à un autre agent.
Il est vrai néanmoins que dans le cas de produits physiques comme les parfums ou les vêtements, les stratégies d’arbitrage restent toujours possibles. Les clients qui paient cher choisiront d’acheter ailleurs afin de bénéficier d’un prix plus attractif, en passant par exemple par une plate-forme comme eBay ou Leboncoin.
La stratégie de discrimination « personnelle » permet d’augmenter le profit des entreprises d’une double manière:
– les clients qui valorisent fortement le bien ou le service acceptent de le payer plus cher, ce qui accroît la marge par unité vendue ; sur le graphique précédent, c’est le cas pour les clients 1 à 5 ;
– les clients qui n’achetaient pas le bien ou le service quand le prix était uniforme sont désormais disposés à l’acheter avec un prix personnalisé : tel est le cas des clients 7, 8 et 9. L’entreprise accroît donc son profit en augmentant ses volumes (dès lors que le prix de vente est supérieur au coût de production d’une unité supplémentaire).
Voir Benjamin Reed Shiller, « First degree price discrimination using big data », Working Paper n°58, Brandeis University, Department of Economics and International Businesss School, 2014.
Voir Ben Shiller et Joel Waldfogel, « Music for a song: an empirical look at uniform pricing and its alternatives », The Journal of Industrial Economics, vol. 59, n° 4, décembre 2011, p. 630-660.
Voir Jean-Pierre Dubé et Sanjog Misra, « Scalable price targeting », Working Paper n° 23775, National Bureau of Economic Research, septembre 2017.
Les rares études empiriques sur la profitabilité de la tarification personnalisée confirment la pertinence de cette stratégie. Ainsi, une étude de 2014 montre que si Netflix mobilisait uniquement des variables démographiques, son profit n’augmenterait que de 0,8%24. En revanche, si Netflix utilisait 5 000 variables liées au comportement de l’internaute (notamment le temps passé à visionner des films) et pratiquait des prix différenciés selon les clients, ses profits pourraient augmenter de 12,2%. En particulier, certains clients pourraient se voir appliquer un prix deux fois plus élevé que le prix actuel. De même, une autre étude de 2012 a montré qu’Apple pourrait accroître ses revenus de 50 à 66% si la firme mettait en place sur iTunes une stratégie de discrimination par les prix en fonction des profils de clients25. Une expérience récente a également été conduite par deux chercheurs sur le site de recrutement ZipRecruiter26 : le site pratiquait une politique de prix uniforme, consistant en un abonnement de 99 dollars par mois pour les entreprises qui souhaitaient accéder aux demandes d’emploi et, après avoir recueilli des informations sur les entreprises clientes, notamment leur localisation, les auteurs ont proposé de mettre en place, au travers d’un algorithme, des prix personnalisés, allant de 119 à 489 dollars. Le résultat est assez impressionnant : les profits ont augmenté de 84%.
Les prix personnalisés présentent aussi des risques pour les entreprises
Certains exemples sont repris dans le document de l’OCDE, « Personalised Pricing in the Digital Era », 28 novembre 2018, p. 49.
« “IP Tracking” : conclusions de l’enquête conjointe menée par la Cnil et la DGCCRF », 27 janvier 2014. L’enquête constate simplement quelques pratiques de discrimination assez peu sophistiquées, consistant à moduler les frais de dossier en fonction de l’heure à laquelle l’internaute effectue sa réservation (durant les « heures creuses », les frais de dossier sont moindres) et à faire dépendre le prix proposé du site précédemment visité. En particulier, si le client est allé sur un comparateur de prix avant, il se voit proposer un prix d’appel plus attractif mais avec des frais plus élevés.
Voir Jenny Schrader et Efthymios Constantinides, « Price discrimination in online airline tickets: the role of customer profiling », 2014.
Voir Thomas Vissers, Nick Nikiforakis, Nataliia Bielova et Wouter Joose, « Crying Wolf? On the price discrimination of online airline tickets », 7th Workshop on Hot Topics in Privacy Enhancing Technologies (HotPETs 2014), Amsterdam, juillet 2014.
Voir Patrick Coen et Natalie Timan, « The economics of online personalised pricing », mai 2013.
« There was no evidence of pricing being different or personalised for different consumers », Competition and Markets Authority (CMA), « Pricing Algorithms, economic working paper on the use of algorithms to facilitate collusion and personalised pricing », 8 october 2018, p. 38.
Voir Aniko Hannak, Gary Soeller, David Lazer, Alan Mislove et Christo Wilson, « Measuring Price Discrimination and Steering on E-commerce Web Sites, Federal Trade Commission », p. 305-318, novembre 2014.
Voir Timothy Richards, Jura Liaukonyte et Nadia A. Streletskaya, « Personalized pricing and price fairness », International Journal of Industrial Organization, vol. 44, issue C, 2016, p. 138-153.
Voir Andreas Krämer et Regine Kalka, « How digital disruption changes pricing strategies and price models », in Anshuman Khare, Brian Stewart et Rod Schatz (dir.), Phantom Ex Machina. Digital Disruption’s Role in Business Model Transformation, Springer, 2017, p. 87-103.
Voir Commission européenne, « Consumer market study on online market segmentation through personalised pricing/offers in the European Union », 2018.
Ces stratégies, dénommées « identity management strategies », sont toutefois coûteuses en temps.
Peu d’études empiriques sont parvenues jusqu’ici à établir la réalité des prix personnalisés en ligne27. Il n’est pas exclu qu’il soit difficile pour un observateur extérieur d’identifier les pratiques de prix personnalisés et de les distinguer d’une tarification dynamique. Ainsi, dans le cas des compagnies aériennes, une enquête de la Commission nationale de l’informatique et des libertés (Cnil) et de la Direction générale de la concurrence, de la consommation et de la répression des fraudes (DGCCRF) de 2014 n’a pas permis de démontrer que les tarifs étaient modulés en fonction de l’adresse IP de l’internaute (pratique dite de l’IP tracking)28.
D’autres études menées sur le transport aérien de passagers confirment la faible prévalence de la tarification personnalisée. Ainsi, une étude a comparé les différences de prix sur quatre lignes aériennes en utilisant deux ordinateurs et adresses IP différents29. L’expérience consistait à se connecter chaque jour au même moment sur deux ordinateurs : l’un sur lequel les cookies et autres « empreintes digitales » étaient activés ; un second, vierge, ne permettant pas de suivre le comportement de navigation. Conduite sur un mois, l’expérience portait sur 3 465 observations. Les auteurs concluent qu’il n’y a pas de différence significative de résultats entre les deux ordinateurs, ce qui revient à considérer que l’historique de navigation et les caractéristiques individuelles ne sont pas pris en compte par les compagnies aériennes dans la tarification d’un billet.
Dans la même veine, un travail de 2014 a analysé durant plusieurs semaines les prix de vingt-cinq compagnies aériennes, en fonction de plusieurs critères30 :
– le moteur de recherche et l’OS utilisés ;
– le type de clients, approximé par le type de sites visités sur Internet : les clients aisés vont sur des sites de produits de luxe et lisent des informations financières ; les clients sensibles aux prix vont davantage sur les sites de promotion et de comparaison de produits ; les voyageurs consultent souvent des sites d’agences de voyages ;
– les types de cookies, notamment selon leur origine (collectés sur le site de réservation ou collectés lors de la navigation sur Internet) ;– la localisation de l’individu qui réserve (New York et Louvain).
Les auteurs concluent qu’il n’existe pas de différence significative dans les prix proposés selon les profils, pour une même requête faite au même moment.
L’Office of Fair Trading (OFT), l’autorité de concurrence britannique, confirme les résultats précédents31 : il n’est pas possible de mettre en évidence des pratiques de prix personnalisés qui aillent au-delà de la classification des individus en grands groupes. Le successeur de l’OFT, la Competition and Market Authority (CMA), a réactualisé l’étude de 2013, sur la base de données de 2017, et parvient à une conclusion similaire : « Il n’y a aucune preuve que les prix aient été différents ou personnalisés pour les différents consommateurs32. »
Quelques études empiriques parviennent toutefois à identifier des pratiques de prix personnalisés à la fois systématiques et de grande ampleur. Une étude de 2014 montre que certains sites comme Home Depot ou Sears affichent des prix différents pour le même produit mais ces pratiques restent assez marginales et ne concernent que 0,5 à 3,6% des produits testés33. En revanche, les écarts de prix peuvent être assez significatifs et atteindre, en valeur absolue, plusieurs centaines d’euros. Par exemple, les auteurs montrent que pour une même chambre d’hôtel à Paris, le prix peut varier de 565 à 633 dollars en ligne, soit un écart de 12%, selon le profil de la personne qui réserve.
Si on fait l’hypothèse que la faible occurrence des prix personnalisés provient de la prudence des entreprises, il reste à en expliquer les raisons. Trois obstacles principaux à l’usage de prix personnalisés peuvent être identifiés.
Le premier obstacle est à rechercher du côté des consommateurs, qui peuvent nourrir un sentiment d’injustice (unfairness). Ce sentiment sera d’autant plus marqué qu’ils ne connaissent pas les critères individuels sur lesquels s’est fondée la personnalisation du prix. Les entreprises risquent alors de s’exposer à leur vindicte, notamment via les réseaux sociaux : tel consommateur qui s’apercevra, après avoir acheté, qu’il a payé un prix supérieur à d’autres clients (par exemple en échangeant avec eux sur les réseaux sociaux) ne manquera pas de médiatiser et de stigmatiser l’entreprise par qui il considère avoir été lésé. L’économie comportementale a en effet mis en évidence que le consommateur présente :
– une « aversion asymétrique à l’inéquité » : il accepte mal de payer plus cher que les autres, même s’il accepte que les autres payent plus cher que lui. Il a le sentiment de « s’être fait avoir », même si le prix est dans l’absolu plus faible que ce qu’il espérait34 ;
– un dualisme dans la perception des mouvements de prix (dual entitlement) : si la hausse d’un prix résulte d’une hausse des coûts, elle sera perçue comme plus justifiable par le consommateur que si elle résulte d’une hausse de la demande ;
– un biais d’ancrage : le consommateur valorise l’existence d’un prix de référence, à partir duquel est calculé un prix personnalisé. Il n’est donc pas équivalent de proposer au client une réduction sur un prix de départ, connu de tous, et de lui proposer directement un prix, sans référentiel : un prix de 70 euros n’est pas perçu de la même manière qu’une réduction de 30% sur un prix de référence de 100 euros.
Les rares études empiriques sur la perception des prix personnalisés montrent que ces pratiques restent peu acceptables par les clients. Ainsi, en 2016, des chercheurs ont mené une enquête sur l’acceptabilité par les clients d’une tarification personnalisée sur le site Amazon35. Leur résultat est sans appel : si les clients acceptent certaines formes de discrimination fondées sur les volumes ou sur la date de réservation, 87% d’entre eux considèrent que les prix personnalisés posent problème. Plus encore, 54% d’entre eux considèrent que si Amazon pratiquait des prix personnalisés, notamment en fonction du type d’appareil utilisé (PC ou smartphone), il s’agirait là d’une raison suffisante pour ne plus acheter sur le site. D’ailleurs, en 2000, Amazon a mené une expérience à l’insu de ses clients, consistant à vendre de manière aléatoire le même DVD 3 à 4 dollars plus cher que le prix standard, suscitant rapidement une réaction négative des consommateurs. Il ne s’agit certes pas d’une pratique de prix personnalisés, mais elle montre que la différenciation des prix est mal vécue par les clients. Le patron d’Amazon en personne, Jeff Bezos, a dû présenter ses excuses, en expliquant qu’il s’agissait d’une expérience, et il a pris l’engagement solennel de ne pas fixer les prix en fonction de variables individuelles.
De même, une enquête récente de la Commission européenne sur l’attitude des consommateurs vis-à-vis des pratiques de personnalisation sur Internet révèle un net rejet des prix personnalisés : seuls 8% des répondants estiment que les prix personnalisés sont « bénéfiques » et 36% qu’ils ont des avantages et des inconvénients36.
Le deuxième obstacle se trouve du côté des internautes, qui peuvent décider de réagir aux tentatives de prix personnalisés en cherchant à les contourner, à travers un jeu de « cache-cache » qui peut prendre différentes formes :
– en limitant l’information transmise aux entreprises : navigation en mode privé, utilisation de navigateurs comme Qwant ou Duckduckgo qui garantissent l’anonymat des internautes, refus des cookies, etc. ;
– en essayant de « piéger » les algorithmes, par exemple en créant plusieurs profils, en changeant d’appareil, en utilisant différentes cartes de crédit ou adresses IP ou en attendant avant de finaliser un panier d’achat37 ;
– en recourant davantage aux comparateurs de prix avant d’acheter, dans le but d’obtenir un référentiel de prix fiable ;
– en se reportant sur des sites concurrents ne pratiquant pas de prix personnalisés ;
– en développant, grâce aux plateformes de revente comme eBay, les transactions secondaires : les personnes qui sont en mesure de payer moins cher un produit pourraient l’acheter dans le but de le revendre aux autres.
Le dernier obstacle est à rechercher du côté des pouvoirs publics, qui ont renforcé significativement les règles de protection des données personnelles, à l’image du règlement général sur la protection des données (RGPD) européen entré en vigueur en mai 2018. Ce RGPD renforce l’obligation d’information et de transparence dans le recueil, l’utilisation et la conservation des données personnelles. Les entreprises doivent ainsi obtenir le consentement explicite des individus qui peuvent consulter, rectifier, voire supprimer les données qui les concernent. En particulier, l’article 4 s’attache à la question du « profilage », technique consistant à collecter des informations sur un individu ou un groupe afin de le catégoriser : tout individu qui est « profilé » doit en être informé et dispose d’un droit d’opposition « pour des raisons tenant à sa situation particulière ». Le non-respect des dispositions du RGPD peut conduire à des sanctions dont le montant peut s’élever jusqu’à 20 millions d’euros ou 4% du chiffre d’affaires annuel mondial de l’entreprise.
Quelques pratiques indirectes de personnalisation du prix
Fondation pour l’innovation politique – octobre 2019
Compte tenu de ces différents obstacles, il est probable que les entreprises se lancent dans les prix personnalisés avec la plus grande prudence, en employant des techniques moins visibles que l’affichage direct de prix différents selon les individus : frais annexes différents, coupons de réduction ciblés, etc.
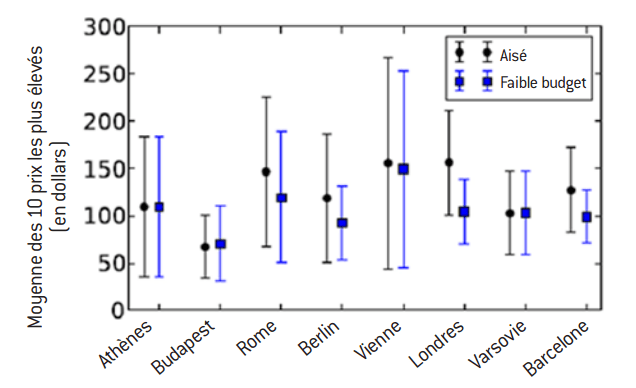
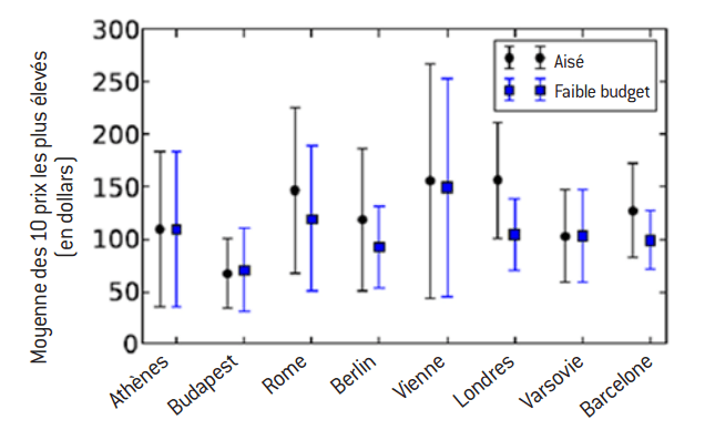
En particulier, les entreprises peuvent pratiquer la différenciation dans l’affichage des résultats d’une requête sur Internet (search discrimination ou price steering), lorsque les produits sont à la fois très nombreux et très différenciés, comme dans l’hôtellerie : en fonction du profil du client, les produits affichés sur la première page à la suite d’une requête ne sont pas les mêmes selon les internautes. Des chercheurs ont ainsi élaboré trois profils différents de clients et confirmé l’existence d’une discrimination dans l’affichage des résultats : pour une même requête, sur les dix premières propositions d’hôtels en moyenne, les clients ayant un profil aisé (affluent consumer) se sont vu proposer des prix plus élevés que les clients ayant un profil à faible budget (budget conscious consumer).
Prix des chambres d’hôtel pour les 10 premiers résultats affichés, en fonction de deux profils de clients
Source : Jakub Mikians, László Gyarmati, Vijay Erramilli et Nikolaos Laoutaris, « Detecting price and search discrimination on the Internet », Proceedings of the 11th ACM Workshop on Hot Topics in Networks, HotNets-XI, octobre 2012, fig. 5.
http://citeseerx.ist.psu.edu/viewdoc/download?doi=10.1.1.352.3188&rep=rep1&type=pdf
Voir Aniko Hannak, Gary Soeller, David Lazer, Alan Mislove et Christo Wilson, art. cit.
Consumer and Markets Authority (CMA), « Pricing algorithms. Economic working paper on the use of algorithms to facilitate collusion and personalised pricing », 8 octobre 2018, p. 63.
D’autres chercheurs ont étudié seize sites de e-commerce aux États-Unis et trouvent également un affichage différencié de l’ordre des résultats selon les clients : dans neuf cas sur seize (quatre sites de e-commerce et cinq sites de réservation de billets), l’ordre des résultats diffère en fonction de facteurs tels que l’historique de navigation et des achats38. Plus récemment, en 2018, un rapport de l’autorité britannique de concurrence (CMA) a confirmé, sur la base d’un test sur dix sites majeurs de vente en ligne (Amazon, Ryanair, Booking, etc.) l’existence d’un ordre des résultats différencié selon le système d’exploitation utilisé ou le fait d’être « logué » ou non lorsque l’internaute effectue la recherche sur le site39. Par exemple, sur le site Opodo, le fait de s’identifier conduit à des recommandations d’hôtels plus onéreux.
De même, les entreprises peuvent afficher un prix de référence puis cibler des coupons de réduction sur certains clients, en fonction de leur parcours de navigation ou de leur historique d’achat. Ainsi, des chercheurs ont comparé le prix proposé sur le site marchand Shoplet.com, lorsque le client y accède directement et lorsqu’il passe d’abord par un site promotionnel, signalant ainsi sa forte sensibilité au prix. Dès lors, le client se voit systématiquement proposer une promotion pouvant atteindre en moyenne 23% du prix affiché sur le site et aller au maximum jusqu’à environ 50% de ce même prix.
Pourcentage de réduction de prix lorsque l’internaute passe au préalable par un site de promotions
Source : Jakub Mikians, László Gyarmati, Vijay Erramilli et Nikolaos Laoutaris, « Detecting price and search discrimination on the Internet », Proceedings of the 11th ACM Workshop on Hot Topics in Networks, HotNets-XI, octobre 2012, fig. 6. http://citeseerx.ist.psu.edu/viewdoc/download?doi=10.1.1.352.3188&rep=rep1&type=pdf
Voir Arvind Narayanan, « Personalized Coupons as a Vehicle for Perfect Price Discrimination »,33bits.wordpress.com, 25 juin 2013.
Le geofencing permet aux entreprises d’envoyer des messages ou proposer des services à leurs clients, sur la base de la localisation de leur smartphone, lorsque ceux-ci se trouvent dans une certaine aire géographique (aux abords d’un magasin, par exemple).
Selon une étude réalisée en 2013 à partir de données américaines, la pratique des promotions différenciées est acceptée par un tiers des clients, sans doute parce qu’elle prend appui sur un prix de référence sur lequel est appliquée une décote, soit un mécanisme de différenciation de prix qui est, comme on l’a vu, plus acceptable pour le consommateur40.
L’envoi en temps réel de coupons de réduction pourrait d’ailleurs se développer demain en magasin physique, grâce au geofencing41. Un client qui fait ses courses au supermarché peut se voir proposer en temps réel une réduction, si l’application détecte par exemple qu’il n’a pas acheté un produit qu’il a l’habitude d’acheter.
Voir Timothy Richards, Jura Liaukonyte et Nadia A. Streletskaya, art. cit.
Les entreprises peuvent également discriminer les prix selon les individus, en leur proposant de participer à la formation du prix, par exemple sous la forme d’une enchère. Une étude empirique réalisée en 2016 a montré que les clients acceptaient plus facilement de payer plus cher que d’autres clients lorsque le prix était déterminé de manière « ludique » et participative42. En effet, lorsque le client participe à la formation du prix, il est moins enclin à en contester le résultat, fût-il inéquitable pour lui, dans la mesure où il a le sentiment d’un certain « contrôle » sur son élaboration et donc son niveau final.
Les consommateurs doivent-ils s’inquiéter des prix personnalisés ?
Pour une discussion des différents effets de la discrimination sur le marché, voir le chapitre 12 du livre d’Ariel Ezrachi et Maurice E. Stucke, Virtual Competition. The Promise and Perils of the Algorithm-driven Economy, Harvard University Press, 2016.
« Economists typically see value-based pricing as a tool for expanding the size of the market by charging more to those willing to pay and less to those who are not » (The Council of Economic Advisers, Big data and Differential Pricing, Executive Office of the President of the United States, février 2015, p. 16).
« Information can be used to target some consumers with higher prices but the same information can be used to target consumers with a better deal » (cité in Sam Thielman, « Acting Federal Trade Commission head: internet of things should self-regulate », theguardian.com, 14 mars 2017.
New York City Department of Consumer Affairs, « From Cradle to Cane: the Cost of Being a Female Consumer; A Study of Gender Pricing in New York City », décembre 2015, p. 76.
Une étude empirique sur les différences de prix entre certains produits et services en France en 2015 ne parvient pas à identifier un biais systématique en défaveur des femmes, même si elle constate des différences sur les produits destinés aux femmes et ceux destinés aux hommes.
Voir Casey Bond, « 7 Weird Examples Of How Women Pay More Than Men For The Same Products », huffpost.com, 10 juillet 2019.
Voir Emily Tess Katz, « Why Women Are Paying $1,300 More A Year For The Same Exact Products As Men », Huffington Post, 20 novembre 2014.
Voir Tamar Kricheli-Katz et Tali Regev, « How many cents on the dollar? Women and men in product markets », Science Advances, vol. 2, n° 2, 19 février 2016.
Il s’agit d’un test de lecture et de notation d’un texte : lorsque le lecteur est informé que le texte a été écrit par une femme plutôt que par un homme, le texte est moins bien évalué. Voir Philip Goldberg, « Are women prejudiced against women? », Transaction, n° 5, avril 1968, p. 316-322.
Pour vérifier cette explication, Tamar Kricheli-Katz et Tali Regev (art. cit.) ont réalisé une expérience : ils ont demandé à un panel de clients combien ils seraient prêts à payer pour une carte cadeau sur Amazon d’une valeur de 100 dollars, vendue par Alison (prénom féminin) ou par Brad (prénom masculin). Le résultat est sans appel : les clients sont prêts à payer 87,42 dollars si la carte est vendue par Brad et 83,34 dollars si elle est proposée par Alison.
Voir Ian Ayres et Peter Siegelman, « Race and Gender Discrimination in Bargaining for a New Car », The American Economic Review, vol. 85, n° 3, juin 1995, p. 304-321.
Voir Benjamin Edelman, Michael Luca et Dan Svirsky, « Racial discrimination in the sharing economy: evidence from a field experiment », American Economic Journal: Applied Economics, vol. 9, n° 2, avril 2017, p. 1-34.
AirBnB a pris la mesure du problème en 2016, suite à la publication d’articles scientifiques sur le sujet, en confiant un rapport à Laura Murphy, personnalité engagée dans la lutte contre les discriminations. Plusieurs recommandations issues de l’étude ont été mises en œuvre par AirBnB, notamment la signature d’un engagement par chaque loueur, en faveur de l’égalité de traitement envers tous les clients, un service d’assistance aux locataires qui s’estiment victimes de comportements discriminatoires et une incitation à utiliser la réservation instantanée (instant book), consistant à accepter la demande de location avant même d’avoir vu le profil du locataire.
Voir Benjamin Edelman et Michael Luca, « « Digital discrimination: the case of Airbnb.com », Working Paper n°14-954, 14 janvier 2014, Harvard Business School.
Voir Yanbo Ge, Christopher R. Knittel, Don MacKenzie et Stephen Zoepf, « Racial and Gender Discrimination in Transportation Network Companies », Working Paper n° 22776, National Bureau of Economic Research, octobre 2016.
En supposant que les pratiques de prix personnalisés soient amenées à se développer, faut-il véritablement que les consommateurs s’en inquiètent ? Le réflexe naturel serait de condamner par principe ces pratiques, au motif qu’elles sont « injustes » puisqu’elles tirent parti de différences individuelles. Mais en réalité, les choses sont plus complexes qu’il y paraît. La discrimination sous la forme de prix personnalisés peut avoir pour effet d’élargir la taille du marché43. En effet, un prix personnalisé signifie certes que celui qui est prêt à payer cher paiera plus qu’avec un prix uniforme mais à l’inverse, un individu ayant une faible disposition à payer se verra proposer un tarif préférentiel et pourra donc accéder au marché. En d’autres termes, les prix personnalisés augmentent le profit des entreprises qui les pratiquent, mais ils bénéficient également à certains consommateurs, comme le soulignait un rapport d’économistes de 2015 : « Les économistes considèrent les pratiques de prix personnalisés comme des moyens d’élargir le marché en facturant davantage aux individus prêts à payer plus et moins à ceux qui ne le sont pas44. »
Plus récemment, en 2017, la commissaire de la Federal Trade Commission américaine, Maureen Ohlhausen, a repris cet argument en faveur des prix personnalisés : « L’information peut être utilisée pour cibler certains consommateurs avec des prix plus élevés mais la même information peut être utilisée pour cibler les consommateurs avec une meilleure offre45. »
Il est vrai que les prix personnalisés opèrent une double redistribution des richesses :
– entre les consommateurs : certains vont payer plus cher qu’auparavant, tandis que d’autres, qui n’avaient pas accès au marché, vont se voir proposer un prix attractif. L’acceptabilité d’une telle redistribution des richesses entre consommateurs est complexe à analyser : on peut considérer que la discrimination personnelle conduit à « faire payer les riches », tandis qu’elle favorise l’accès au bien des plus démunis, mais les choses ne sont pas aussi simples car la disposition maximale à payer d’un individu ne dépend pas seulement de son niveau de revenu mais également de ses préférences et contraintes. Par exemple, le fait d’être prêt à payer plus cher son essence ne résulte pas forcément d’un revenu plus élevé mais peut simplement révéler que l’on habite en zone rurale et que l’usage de la voiture est indispensable. Une stratégie de prix différencié de l’essence pourrait conduire alors à faire payer plus cher les personnes ayant un besoin impératif de leur voiture et pas forcément les personnes les plus aisées ;
– des consommateurs vers l’entreprise : la discrimination conduit par principe à augmenter le profit, au détriment d’une partie des consommateurs.
Plus fondamentalement, les prix personnalisés remettent en cause un principe essentiel autour duquel l’ensemble du commerce de détail est articulé depuis plus d’un siècle : l’existence d’un prix de référence (par exemple un prix observé en moyenne ou un prix maximum conseillé), sur la base duquel les clients peuvent se positionner et faire un choix. En effet, il n’est pas équivalent de pratiquer une remise de 30% sur un prix public observé de 100 euros et d’annoncer au client un prix de 70 euros, sans qu’il dispose d’un référentiel de comparaison. En poussant à l’extrême la logique du prix personnalisé, on aboutit à la disparition de la notion même de prix de référence : pour un même produit, le nombre de prix deviendrait égal… au nombre de clients. Le risque est alors celui d’une défiance généralisée des clients à l’encontre des entreprises qui se livreront à ce type de pratique.
On notera toutefois que l’existence d’un « prix de référence », si elle est courante dans la distribution de biens physiques, est moins fréquente dans le domaine des services à la personne, comme les prêts immobiliers ou l’assurance : on peut donc estimer que les prix personnalisés, qui existent déjà en pratique, seront mieux acceptés dans les services, compte tenu de l’absence de référentiel unique et de la nécessaire prise en compte du profil de risque de chaque client.
Plus encore, il reste à savoir sur quels critères les entreprises prendront appui demain pour différencier les prix selon les individus.
En la matière, deux grands types de critères pourraient être utilisés :
– des critères liés principalement aux revenus des individus : on pense par exemple au fait d’être jeune ou dans une situation professionnelle délicate (chômage, précarité…). Dans ce cas, le prix personnalisé sur Internet, s’il prend la forme d’un tarif préférentiel, sera « socialement acceptable », dans la mesure où il est fondé sur un facteur objectif. En effet, il est affiché comme une baisse de prix et lié à une contrainte de revenu ;
– des critères sur lesquels les individus n’ont pas véritablement de prise : on songe tout particulièrement au sexe ou à la couleur de peau. Si le prix personnalisé prend la forme d’un prix plus élevé (voire d’un refus de contracter), cela pourrait susciter de violentes réactions.
Ce second cas de figure ne peut être exclu par principe. Si elle reste rare, la discrimination par les prix selon le sexe ou la couleur de peau existe déjà dans l’univers du commerce physique et sur Internet. Ainsi, les femmes sont parfois victimes d’une « taxe rose ». Une étude de la ville de New York de 2015, portant sur 800 produits disponibles en versions masculine et féminine, révèle qu’un différentiel de prix systématique persiste en défaveur des femmes, de l’ordre de 7% en moyenne46. Pour certains produits comme les shampoings, l’écart de prix, à qualité équivalente, peut atteindre 48%47. En règle générale, cette distinction entre les produits génériques est perceptible pour les articles tels que les vêtements et les produits/services d’esthétique, tels que les rasoirs, le savon ou les coupes de cheveux, mais s’étend aux médicaments, jouets pour enfants, etc.48 Aux États-Unis, les femmes dépensent environ 1 300 dollars de plus que les hommes pour les mêmes produits et services chaque année49.
Le commerce en ligne n’échappe pas non plus à cette discrimination par le genre. Ainsi, une étude a montré que lorsqu’une femme vendait un produit sur eBay, le prix final était moins élevé que celui d’un vendeur masculin, pour un produit et une réputation des vendeurs identiques50. Cette différence s’explique par la présence d’un stéréotype, connu sous le nom de « paradigme Goldberg51»: un produit vendu par une femme est systématiquement moins valorisé que le même produit vendu par un homme. Dans le cas d’eBay, cela signifie que les enchères montent moins haut lorsque le vendeur est une femme52.
La discrimination par les prix selon la couleur de peau existe également dans le commerce physique et sur Internet, même si les exemples restent rares. Une étude a constaté en effet que les personnes de couleur payaient en moyenne un prix plus élevé lors de l’achat d’une voiture neuve53. Le commerce en ligne n’échappe pas à ces comportements, en particulier sur les sites de réservation qui exigent de se « loguer » avant de conclure une transaction. À ce titre, des chercheurs ont créé sur le site de réservation de logements AirBnB plusieurs profils de clients, dont certains avec des prénoms à consonance afro-américaine, puis ont envoyé des requêtes pour une demande de location de logement54. Il apparaît, toutes choses égales par ailleurs, que la demande de location d’un individu ayant un prénom à consonance africaine a 16% de chances en moins d’être acceptée que celle d’un client ayant un prénom à consonance anglo-saxonne55. Une autre étude montre que les hôtes AirBnB de couleur de peau noire ont plus de difficultés à trouver un locataire pour leur appartement, ce qui se traduit par une baisse du prix de l’ordre de 12%, toutes choses égales par ailleurs56. La discrimination raciale peut également se traduire par des temps d’attente plus longs. Une étude sur quatre villes américaines conclut à des temps d’attente pour un taxi 35% supérieur à la moyenne pour les personnes de couleur noire dans la ville de Seattle. À Boston, le taux d’annulation des courses par le chauffeur est plus important lorsque la réservation a été effectuée par une personne de couleur noire57.
Sans aller jusqu’à mettre en place des critères explicitement discriminatoires tels que la couleur de peau ou le sexe, un algorithme de prix peut produire involontairement un résultat discriminatoire : le croisement de variables en apparence anodines ou « neutres » peut conduire à un résultat qui ne l’est pas. À titre d’exemple, une étude de proPublica montre que la stratégie de The Princeton Review, une entreprise d’aide à la candidature en université, consistant à fixer le prix en fonction du code postal, conduit en pratique à faire payer plus cher les personnes d’origine asiatique. On peut imaginer toutes les dérives possibles de cette discrimination « spatiale » qui pourrait conduire une entreprise à désavantager systématiquement certains types de population : par exemple, une agence de recrutement ou de location d’appartement pourrait hiérarchiser les demandes en fonction du code postal ou du quartier de résidence de l’internaute, conduisant statistiquement à discriminer toujours le même type d’individus.
Voir Cathy O’Neil, Weapons of Math Destruction: How Big Data Increases Inequality and Threatens Democracy, Crown, 2016.
De même, les prix personnalisés peuvent conduire une entreprise à utiliser des variables qui ne sont pas en relation directe avec les critères usuels de détermination du prix. Le cas de l’assurance automobile est à cet égard intéressant : le prix d’une police d’assurance est censé refléter le degré de risque d’un conducteur, qui est lui-même fonction de facteurs tels que son comportement de conduite observé (système du « bonus-malus »). Avec le big data, un assureur pourrait être tenté de fixer le prix de son assurance automobile en fonction d’un « portrait-robot » du client (au travers d’un e-scoring) et non de son niveau de risque. Cathy O’Neil montre ainsi qu’aux États-Unis l’usage du e-scoring peut conduire à des situations étonnantes : un conducteur n’ayant jamais eu d’accident mais avec un faible e-score se verra proposer une police d’assurance plus coûteuse qu’un conducteur qui a été poursuivi pour conduite en état d’ivresse mais qui bénéficie d’un bon e-score58.
Conclusion
Voir Kevin Hogan, « Consumer Experience in the Retail Renaissance: How Leading Brands Build a Bedrock with Data », deloittedigital.com, 6 juin 2018.
En matière de prix personnalisés, les entreprises font aujourd’hui face à un dilemme. D’un côté, la tentation de prix personnalisés est très forte, dans la mesure où cette pratique se traduit par une hausse substantielle des profits. On peut d’ailleurs constater que les entreprises ont parfaitement conscience de ce levier potentiel puisque selon une récente enquête du cabinet Deloitte, réalisée auprès de 500 grandes entreprises, la première motivation des marques pour développer l’usage de l’intelligence artificielle serait d’évoluer vers des prix et des promotions personnalisées59.
D’un autre côté, la discrimination personnalisée peut créer un sentiment de défiance chez les clients, surtout lorsqu’elle n’est pas fondée sur des critères transparents et objectifs, et par conséquent conduire à une baisse des profits. On remarquera à cet égard que les géants de la distribution alimentaire, qui possèdent depuis longtemps de précieuses informations sur leurs clients au travers des cartes de fidélité, ne sont jamais véritablement allés sur le terrain des prix personnalisés, au-delà des coupons de réduction, alors même que les étiquettes électroniques le permettent aujourd’hui. Ils redoutent certainement que la différenciation des prix selon les individus les conduise à perdre la confiance et donc la fidélité des clients à leur enseigne.
Synthèse de l’étude en huit points
Aucun commentaire.